Polynomials 4B
star
star
star
star
star
Last updated almost 6 years ago
20 questions
Note from the author:
Simplifying Monomials, monomial operations
1
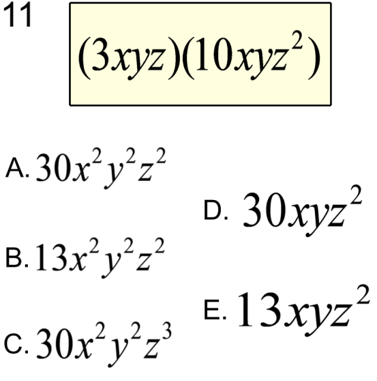
Use the properties of exponents and the order of operations to simplify the expression.
Use the properties of exponents and the order of operations to simplify the expression.
1
Use the properties of exponents and the order of operations to simplify the expression.
Use the properties of exponents and the order of operations to simplify the expression.
1
Use the properties of exponents and the order of operations to simplify the expression.
Use the properties of exponents and the order of operations to simplify the expression.
1
Use the properties of exponents and the order of operations to simplify the expression.
Use the properties of exponents and the order of operations to simplify the expression.
1
Use the properties of exponents and the order of operations to simplify the expression.
Use the properties of exponents and the order of operations to simplify the expression.
1
Use the properties of exponents and the order of operations to simplify the expression.
Use the properties of exponents and the order of operations to simplify the expression.
1
Use the properties of exponents and the order of operations to simplify the expression.
Use the properties of exponents and the order of operations to simplify the expression.
1
Use the properties of exponents and the order of operations to simplify the expression.
Use the properties of exponents and the order of operations to simplify the expression.
1
Use the properties of exponents and the order of operations to simplify the expression.
Use the properties of exponents and the order of operations to simplify the expression.
1
Use the properties of exponents and the order of operations to simplify the expression.
Use the properties of exponents and the order of operations to simplify the expression.
1
Use the properties of exponents and the order of operations to simplify the expression.
Use the properties of exponents and the order of operations to simplify the expression.
1
Use the properties of exponents and the order of operations to simplify the expression.
Use the properties of exponents and the order of operations to simplify the expression.
1
Use the properties of exponents and the order of operations to simplify the expression.
Use the properties of exponents and the order of operations to simplify the expression.
1
Use the properties of exponents and the order of operations to simplify the expression.
Use the properties of exponents and the order of operations to simplify the expression.
1
Use the properties of exponents and the order of operations to simplify the expression.
Use the properties of exponents and the order of operations to simplify the expression.
1
Use the properties of exponents and the order of operations to simplify the expression.
Use the properties of exponents and the order of operations to simplify the expression.
1
Use the properties of exponents and the order of operations to simplify the expression.
Use the properties of exponents and the order of operations to simplify the expression.
1
Use the properties of exponents and the order of operations to simplify the expression.
Use the properties of exponents and the order of operations to simplify the expression.
1
Use the properties of exponents and the order of operations to simplify the expression.
Use the properties of exponents and the order of operations to simplify the expression.
1
Use the properties of exponents and the order of operations to simplify the expression.
Use the properties of exponents and the order of operations to simplify the expression.