quiz motion graph
star
star
star
star
star
Last updated over 3 years ago
16 questions
1
What is the S.I (Metric) measurement for distance?
What is the S.I (Metric) measurement for distance?
1
Speed=
Speed=
1
You walk 10 meters to math class in 20 seconds. Your average speed is
You walk 10 meters to math class in 20 seconds. Your average speed is
1
Acceleration is
Acceleration is
1
A student jogging at 2 m/s picks up the pace until she is jogging at 4 m/s. This is an example of acceleration. True or False?
A student jogging at 2 m/s picks up the pace until she is jogging at 4 m/s. This is an example of acceleration. True or False?
1
On a distance vs. time graph, the steeper the slope _____
On a distance vs. time graph, the steeper the slope _____
1
Which of these is an example of negative acceleration, or deceleration?
Which of these is an example of negative acceleration, or deceleration?
1
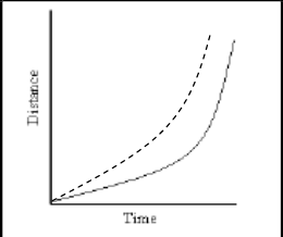
What does this graph represent?
What does this graph represent?
1
What does this graph represent?
What does this graph represent?
1
How long did one of the runner's rest?
How long did one of the runner's rest?
1
Which runner stopped for a rest?
Which runner stopped for a rest?
1
What is happening at C?
What is happening at C?
1
What is happening at D?
What is happening at D?
1
What is happening at E?
What is happening at E?
1
What is happening at A?
What is happening at A?
1
This is the motion graph of a car gettin on a highway. What happened to the speed of the car at the arrow? What could have happened at the arrow?
This is the motion graph of a car gettin on a highway. What happened to the speed of the car at the arrow? What could have happened at the arrow?




