Log in
Sign up for FREE
arrow_back
Library
C3 Outcome 9 Quiz
By Susan Wilson
star
star
star
star
star
Share
share
Last updated almost 7 years ago
7 questions
Add this activity
10
10
20
20
10
10
20
Question 1
1.
Factor completely :
visibility
View drawing
Question 2
2.
Factor completely :
visibility
View drawing
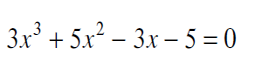
Question 3
3.
Solve the cubic equation:
visibility
View drawing
Question 4
4.
Solve the cubic equation:
visibility
View drawing
Question 5
5.
Which of the following are combinations of real and complex roots for the polynomial? (Select as many as apply)
1 real that repeats 3 times and 1 complex
2 real and 2 complex
1 real and 3 complex
4 complex
2 reals each of which occur twice
Question 6
6.
Which of the following are combinations of real and complex roots for the polynomial? (Select as many as apply)
3 reals that occur once each
1 real that occurs 3 times
No reals
Question 7
7.
Solve the inequality. Express your answer on a number line AND in interval notation.
visibility
View drawing