Log in
Sign up for FREE
arrow_back
Library

Math U1 UE Square Root and Pythagoras Unit Test

star
star
star
star
star
Last updated over 6 years ago
45 questions
1
1
1
1
1
1
1
1
1
1
1
1
1
1
1
1
1
1
1
1
1
1
1
1
1
1
1
1
1
1
1
1
1
1
1
1
1
1
1
1
1
1
1
1
1
Question 1
1.

Question 2
2.

Question 3
3.

Solve.

Question 4
4.

Solve.

Question 5
5.

Solve.

Question 6
6.

Solve.

Question 7
7.

Question 8
8.

Question 9
9.

Question 10
10.

Question 11
11.

Question 12
12.

What is the area of a square drawn from the line segment? Write the answer as a number only; do not include units.

Question 13
13.

What is the length of the line? Write the answer as a number only; do not include units.

Question 14
14.

Evaluate.

Question 15
15.

Evaluate.

Question 16
16.

Evaluate.

Question 17
17.

Evaluate.

Question 18
18.

Evaluate.

Question 19
19.

Evaluate.

Question 20
20.

Question 21
21.

Question 22
22.

Question 23
23.

Question 24
24.

Question 25
25.

Question 26
26.

Question 27
27.

Question 28
28.

Question 29
29.

Question 30
30.

What is the value of p in the following equation?

Question 31
31.

What is the value of p in the following equation?

Question 32
32.

What is the value of p in the following equation?

Question 33
33.

Find the area of the missing square. Write the answer as a number only; do not include units.

Question 34
34.

Find the area of the missing square. Write the answer as a number only; do not include units.

Question 35
35.

Find the length of the side labelled with a variable "h".

Question 36
36.

Find the length of the side labelled with a variable "l".

Question 37
37.

Find the length of the side labelled with a variable "h".

Question 38
38.

Question 39
39.

Question 40
40.

Question 41
41.

Question 42
42.

Question 43
43.

Question 44
44.

A ship travels 30km toward the south. It then changes direction and travels for 40 km toward the east. How far does the ship have to travel to return directly to its starting point? Write the answer as a number only; do not include km. (tip: draw a diagram).

Question 45
45.

How high up the wall does the ladder reach? Write the answer as a number only; do not include any units.

Which number is a perfect square?
36
63
99
101
Which number is a perfect square?
12
17
121
136
Find the length of the side of a square that has an area of:
Find the length of the side of a square that has an area of:

Find the length of the side of a square that has an area of:
What is the area of the square? Write the answer as a number only; do not include units.

What is the length of one side of the square? Write the answer as a number only; do not include units.

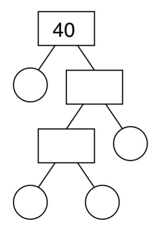
What are the prime factors of 40?
2, 2, 2, 2
2, 2, 2, 3
2, 2, 2, 4
2, 2, 2, 5
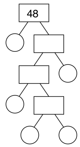
Use the prime factorization tree to help you to simplify the square root of 48.
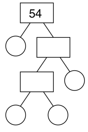
Use the prime factorization tree to help you to simplify the square root of 54.
Find the simplified form of the square root of 60. (Hint: draw your own prime factorization tree)
Between which two whole numbers is the following square root?
between 4 and 5
between 5 and 6
between 6 and 7
between 7 and 8
Between which two whole numbers is the following square root?
between 4 and 5
between 5 and 6
between 6 and 7
between 7 and 8
Between which two whole numbers is the following square root?
between 4 and 5
between 5 and 6
between 6 and 7
between 7 and 8
Between which two whole numbers is the following square root?
between 9 and 10
between 11 and 12
between 13 and 14
between 15 and 16
Which value is the greatest?
A square has area of 20. What is its approximate perimeter? Remember, the perimeter is the distance around. Tip: draw the square and approximate the needed square root.
4
12
18
32
The following is a right angled triangle. True or False?
True
False
The following is a right angled triangle. True or False?
True
False
The following is a Pythagorean Triple.
True of False?
True
False
The following is a Pythagorean Triple.
True of False?
True
False
The following is a Pythagorean Triple.
True of False?
True
False
The following is a Pythagorean Triple.
True of False?
True
False