systems of equations
star
star
star
star
star
Last updated about 7 years ago
8 questions
1
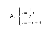
Is there a solution? If so, what type? Is this consistent or inconsistent?
Is there a solution? If so, what type? Is this consistent or inconsistent?
1
Is there a solution? If so, what type? Is this consistent or inconsistent? When graphed together, what type of lines are these?
Is there a solution? If so, what type? Is this consistent or inconsistent? When graphed together, what type of lines are these?
1
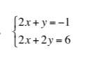
Is there a solution? If so, what type of solution? Is this consistent or inconsistent?
Is there a solution? If so, what type of solution? Is this consistent or inconsistent?
1
Using graphing calculator, if solution exist, state solution and what type:
Using graphing calculator, if solution exist, state solution and what type:
1
Using graphing calculator, if solution exist, state solution and what type:
Using graphing calculator, if solution exist, state solution and what type:
1
Using graphing calculator, if solution exist, state solution and what type:
Using graphing calculator, if solution exist, state solution and what type:
1
Write the equations of the lines. If there is a solution, state what the solution is and what type:
Write the equations of the lines. If there is a solution, state what the solution is and what type:
1
Write the equations of the lines. If there is a solution, state what the solution is and what type:
Write the equations of the lines. If there is a solution, state what the solution is and what type: