Log in
Sign up for FREE
arrow_back
Library

The FORCE & MOTION FINAL

star
star
star
star
star
Last updated over 3 years ago
25 questions
1
1
1
1
1
1
1
1
1
1
1
1
1
1
1
1
1
4
4
1
4
4
0
4
4
Question 1
1.

speed is....

Question 2
2.

Which of the following is used to measure speed?

Question 3
3.

If there is no force acting on an object, it will

Question 4
4.

What does it take to change the direction or speed of an object?

Question 5
5.

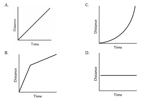
A car travels 4 blocks in 1 minute at a constant speed. Which of the graphs above show the car’s speed?

Question 6
6.

A train travels 0 kilometers for 1 minute. Which of the graphs above show the train’s speed?

Question 7
7.

A runner slows down instantly after 20 seconds. Which of the graphs above show the runner’s speed?

Question 8
8.

A car accelerates gradually for 1 minute. Which of the graphs above show the car’s speed?

Question 9
9.

A bird flies 50 meters in 10 seconds. What is its speed?

Question 10
10.

A ball rolls across a smooth surface at a steady 0.5 miles per hour (MPH). What is its acceleration?

Question 11
11.

Which of the following describes an object that is speeding up? The object is

Question 12
12.

Force equals

Question 13
13.

What is the force needed to accelerate a 10 kg object at 2 m/s2?

Question 14
14.

Car A and Car B are identical but Car A is moving twice as fast as Car B. Both cars brake to a stop. How does the distance needed to stop Car A compare to the distance needed to stop Car B?

Question 15
15.

Imagine you were able to throw ball in a frictionless environment such as outer space. Once you let go of the ball, what will happen to the ball according to the Law of Inertia?

Question 16
16.

A car accelerates down the road. What is the “reaction” to the tires pushing on the road?

Question 17
17.

A hockey puck is hit with the same force on ice and on pavement. Why does the hockey puck on ice travel farther than a hockey puck on the pavement?

Question 18
18.

Give an example of an object that is acted on by balanced forces. Describe the motion of the object and what forces act on it.

Question 19
19.

COMPLETE SENTENCES
The graph above shows the motion of an object. Describe the object’s motion from 0-5 seconds; 5-10 seconds; 10-20 seconds.

Question 20
20.

COMPLETE SENTENCES
A block sits on a very smooth surface. Joey pushes it to the left with a force of 500 N. At the same time, Chanel pushes it to the right with a force of 100 N. Draw a diagram of the box showing the forces on it.

Question 21
21.

COMPLETE SENTENCES
A block sits on a very smooth surface. Joey pushes it to the left with a force of 500 N. At the same time, Chanel pushes it to the right with a force of 100 N. Does the box move and if so in which direction?

Question 22
22.

COMPLETE SENTENCES
Two blocks of the same mass and material are shown above. Which one is more stable? Explain in terms of center of mass.

Question 23
23.

COMPLETE SENTENCES
A constant force pushes on a brick, as shown above.

If there were three bricks, as shown above, what would happen to the acceleration of the bricks if the same force pushed them?

Question 24
24.

How do the safety features of a car(seatbelts, bumper, crumple zones and air bags) help reduce the forces a passenger experiences in a collision? Describe in terms of force, deceleration and inertia.

Question 25
25.

COMPLETE SENTENCES
Which type of car do you think is the safest?
  • Choose Car 1,2 or 3
  • Support your choice with evidence from the table.
  • Why did you choose the vehicle?
  • Include a trade off for the choice you made.
  • Can you infer what type of vehicle you chose or its mass?