Algebra 2 4-0 Get Ready For Chapter 4
star
star
star
star
star
Last updated about 3 years ago
12 questions
10
Solving Linear Equations (Lesson 1-4)
Solve the equation. Check your answer. Enter only a number.
Solving Linear Equations (Lesson 1-4)
Solve the equation. Check your answer. Enter only a number.
10
Solving Absolute Value Inequalities (Lesson 1-6)
Solve the inequality. Graph the solution. Include relevant graph detail. Remember that absolute value equations and inequalities split into two parts as you solve them.
|2x + 2| - 5 < 15
Solving Absolute Value Inequalities (Lesson 1-6)
Solve the inequality. Graph the solution. Include relevant graph detail.
Remember that absolute value equations and inequalities split into two parts as you solve them.
|2x + 2| - 5 < 15
5
Writing and Graphing Equations in Slope-Intercept Form (Lesson 2-3)
What is the slope of the line passing through the points (0, 4) and (4, 2)? Enter only a number, as a simplified fraction or an exact decimal.
Writing and Graphing Equations in Slope-Intercept Form (Lesson 2-3)
What is the slope of the line passing through the points (0, 4) and (4, 2)?
Enter only a number, as a simplified fraction or an exact decimal.
5
Writing and Graphing Equations in Slope-Intercept Form (Lesson 2-3)
What is the y-intercept of the line passing through the points (0, 4) and (4, 2)? Enter the y-intercept as an ordered pair in the response field.
Writing and Graphing Equations in Slope-Intercept Form (Lesson 2-3)
What is the y-intercept of the line passing through the points (0, 4) and (4, 2)? Enter the y-intercept as an ordered pair in the response field.
10
Writing and Graphing Equations in Slope-Intercept Form (Lesson 2-3)1. Use Graph 1 to plot the points (0, 4) and (4, 2).2. Use Graph 2 to graph the line that contains the points on the same plane.
Writing and Graphing Equations in Slope-Intercept Form (Lesson 2-3)
1. Use Graph 1 to plot the points (0, 4) and (4, 2).
2. Use Graph 2 to graph the line that contains the points on the same plane.
- Click the graph tab.
- Click on the graph background to add a point. Drag a point or type in x and y coordinates to edit its position. Click on a point to delete it.

10
10
Identifying Translations (Lesson 2-6)
Compare and Contrast (Part A): The graph below shows f(x) = 0.5x - 1.
Graph g(x) by translating f(x) up 2 units and then stretching it vertically by the factor 2.
Identifying Translations (Lesson 2-6)
Compare and Contrast (Part A): The graph below shows f(x) = 0.5x - 1.
Graph g(x) by translating f(x) up 2 units and then stretching it vertically by the factor 2.
10
Identifying Translations (Lesson 2-6)
Compare and Contrast (Part B): The graph below shows f(x) = 0.5x - 1.
Graph h(x) by stretching f(x) vertically by the factor 2 and then translating it up 2 units.
Identifying Translations (Lesson 2-6)
Compare and Contrast (Part B): The graph below shows f(x) = 0.5x - 1.
Graph h(x) by stretching f(x) vertically by the factor 2 and then translating it up 2 units.
10
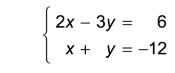
Solving Systems of Equations (Lesson 3-2)
Solve the system of equations by substitution. Show your work on the canvas. Enter the solution, as an ordered pair, in the response field.
Solving Systems of Equations (Lesson 3-2)
Solve the system of equations by substitution. Show your work on the canvas.
Enter the solution, as an ordered pair, in the response field.
2
A form is a document with blank spaces to fill in.
What types of forms might you use?
A form is a document with blank spaces to fill in.
What types of forms might you use?
2
Something is imaginary if it has no factual reality.
What are some examples of imaginary items?
Something is imaginary if it has no factual reality.
What are some examples of imaginary items?
2
Many items have a specific function, or purpose for use.
What is the function of a pencil?
Many items have a specific function, or purpose for use.
What is the function of a pencil?

