Log in
Sign up for FREE
arrow_back
Library

Unit 4 - Final Assessment | M8H

star
star
star
star
star
Last updated about 7 years ago
24 questions
Note from the author:
Illustrative Math Grade 8 Unit 4 Final Assessment
5
5
5
5
5
5
5
5
5
5
5
5
5
5
5
5
5
5
5
5
5
5
5
5
Question 1
1.

What is the weight of a square if a triangle weighs 4 grams?
Just write the number.

Question 2
2.

Solve for y: 3y−4=6−2y
Just write the number.

Question 3
3.

Solve for y: 12(5+2y)=4y−(6−9y)

Just write the number.

Question 4
4.

Will this equation have one solution, no solution, or infinitely many solutions?

3(n+2)=9(6−n)

Question 5
5.

Will this equation have one solution, no solution, or infinitely many solutions?

3(x−5)=2(x−5)+x

Question 6
6.

Will this equation have one solution, no solution, or infinitely many solutions?

2x+7−5x+8=3(5+6x)−12x

Question 7
7.

Solve: 2x+7−5x+8=3(5+6x)−12x

Question 8
8.

The points (-4,0) and (0,-8) are each on the graph of a linear equation. Is (2,4) also on the graph of this linear equation?

Question 9
9.

Cell phone Plan A costs $70 per month and comes with a free $500 phone. Cell phone Plan B costs $50 per month but does not come with a phone. If you buy the $500 phone and choose Plan B, how many months is it until your cost is the same as Plan A's?

Just write the number.

Question 10
10.

Diego has $11 and begins saving $5 each week toward buying a new phone. At the same time that Diego begins saving, Lin has $60 and begins spending $2 per week on supplies for her art class. Is there a week when they have the same amount of money? If so, what week?

Just write the number.

Question 11
11.

Diego has $11 and begins saving $5 each week toward buying a new phone. At the same time that Diego begins saving, Lin has $60 and begins spending $2 per week on supplies for her art class. Is there a week when they have the same amount of money? If so, how much money will they have?

Just write the number. No $.

Question 12
12.

Match the type of variables and constants with the type of solutions to an equation.
Not all items will be used.

  • Same Variable Terms
  • Different Variable Terms
  • Same Constants
  • Different Constants
  • Infinitely Many Solutions
  • No Solution
Question 13
13.

Solve It! The taller candle burns at a rate of 1.15 in. per hour. The shorter candle burns at a rate of 0.75 in. per hour. After how many hours will they be the same height?

Question 14
14.

The zoo has two water tanks that are leaking. One tank contains 10 gallons of water and is leaking at a constant rate of 2 gallons per hour. The second tank contains 6 gallons of water and is leaking at a constant rate of 4 gallons per hour. When will the tanks have the same amount of water?

Question 15
15.

Printing a newsletter costs $1.50 per copy plus $450 in printer's fees. The copies are sold for $3 each. How many copies of the newsletter must be sold to break even?

Just write the number of copies.

Question 16
16.

A circle has a mass of 3 grams and a square has a mass of 2 grams. Which is the mass of a triangle?

Question 17
17.

Which of these systems would have no solution? (There could be more than one answer.)

Question 18
18.

Which of these systems would intersect at the same y-intercept? (There could be more than one answer.)

Question 19
19.

Which of these systems would intersect at one point? (There could be more than one answer.)

Question 20
20.

Here is the graph for one of the equations in a system of equations.
The solution to the system is "No Solution".
Select all equations that could be the other equation in the system.


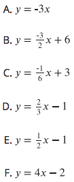
Question 21
21.

Andre and Elena are each saving money. Andre starts with $100 in his savings account and adds $5 per week. Elena starts with $10 in her savings account and adds $20 each week.

Create a graph that shows this scenario. Make sure I can see your intersection point!

We have released a new and improved Graphing question type! Students will no longer be able to answer this question.
Question 22
22.

Andre and Elena are each saving money. Andre starts with $100 in his savings account and adds $5 per week. Elena starts with $10 in her savings account and adds $20 each week.

After four weeks, who has more money in their savings account?

Question 23
23.

Andre and Elena are each saving money. Andre starts with $100 in his savings account and adds $5 per week. Elena starts with $10 in her savings account and adds $20 each week.

After how many weeks will Andre and Elena have the same amount of money in their savings accounts?

Just write the number.

Question 24
24.

Match each graph to its equation.

  • y = 2x + 3
  • y = -2x + 3
  • y = 2x - 3
  • y = -2x - 3