Log in
Sign up for FREE
arrow_back
Library
March Mathness Week 1
By Chris Long
star
star
star
star
star
Share
share
Last updated over 3 years ago
3 questions
Add this activity
You may use your calculator and pencil/paper if you need to use scratch work.
PUT YOUR IPAD AWAY WHEN YOU ARE DONE.
1 point
1
Question 1
1.
1 point
1
Question 2
2.
Simplify the following expression:
1 point
1
Question 3
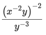
3.
Simplify the following expression:
PUT YOUR IPAD AWAY WHEN YOU ARE DONE!