Log in
Sign up for FREE
arrow_back
Library
SMS Alg 3/6 HW - Algebra Review
By Malia Rivera
star
star
star
star
star
Share
share
Last updated almost 4 years ago
16 questions
Add this activity
1
1
1
1
1
1
1
1
1
1
1
1
1
1
1
1
This will help you recall all the different topics we have covered this year so far. You should use your notes and your textbook if you are stuck!
Question 1
1.
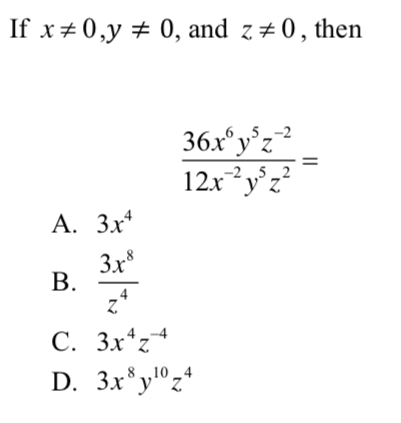
A
B
C
D
Question 2
2.
A
B
C
D
Question 3
3.
What does x = ? Just write the number.
Question 4
4.
Solve the system of equations.
Write the solution as an ordered pair (x,y) NO SPACES!!
Question 5
5.
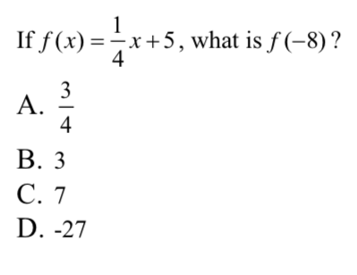
A
B
C
D
Question 6
6.
A
B
C
D
Question 7
7.
What is the slope of the line for the given equation?
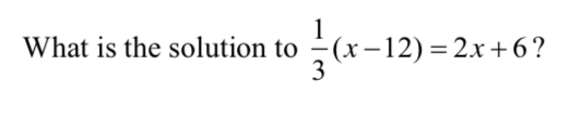
A
B
C
D
Question 8
8.
HINT: Think about what type of line this is when you graph it!
A
B
C
D
Question 9
9.
A
B
C
D
Question 10
10.
A
B
C
D
Question 11
11.
x = 9
x = y + 5
y = -2
y = x - 3
Question 12
12.
A
B
C
D
Question 13
13.
A
B
C
D
Question 14
14.
Write your answer as an ordered pair
WITH NO SPACES!!!
Question 15
15.
Write your answer as an ordered pair
WITH NO SPACES!!!
Question 16
16.
A
B
C
D