Log in
Sign up for FREE
arrow_back
Library

SMS Alg 3/25 HW Monomial Division

star
star
star
star
star
Last updated over 3 years ago
11 questions
1
1
1
1
1
1
1
1
1
1
1
Question 1
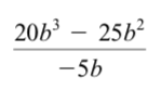
1.

Divide.

Question 2
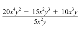
2.

Divide.

Question 3
3.

Divide.

Question 4
4.

Divide.

Question 5
5.

Divide.

Question 6
6.

Divide.

Question 7
7.

Divide.

Question 8
8.

Divide.

Question 9
9.

Divide.

Question 10
10.

Divide.

Question 11
11.

Divide.