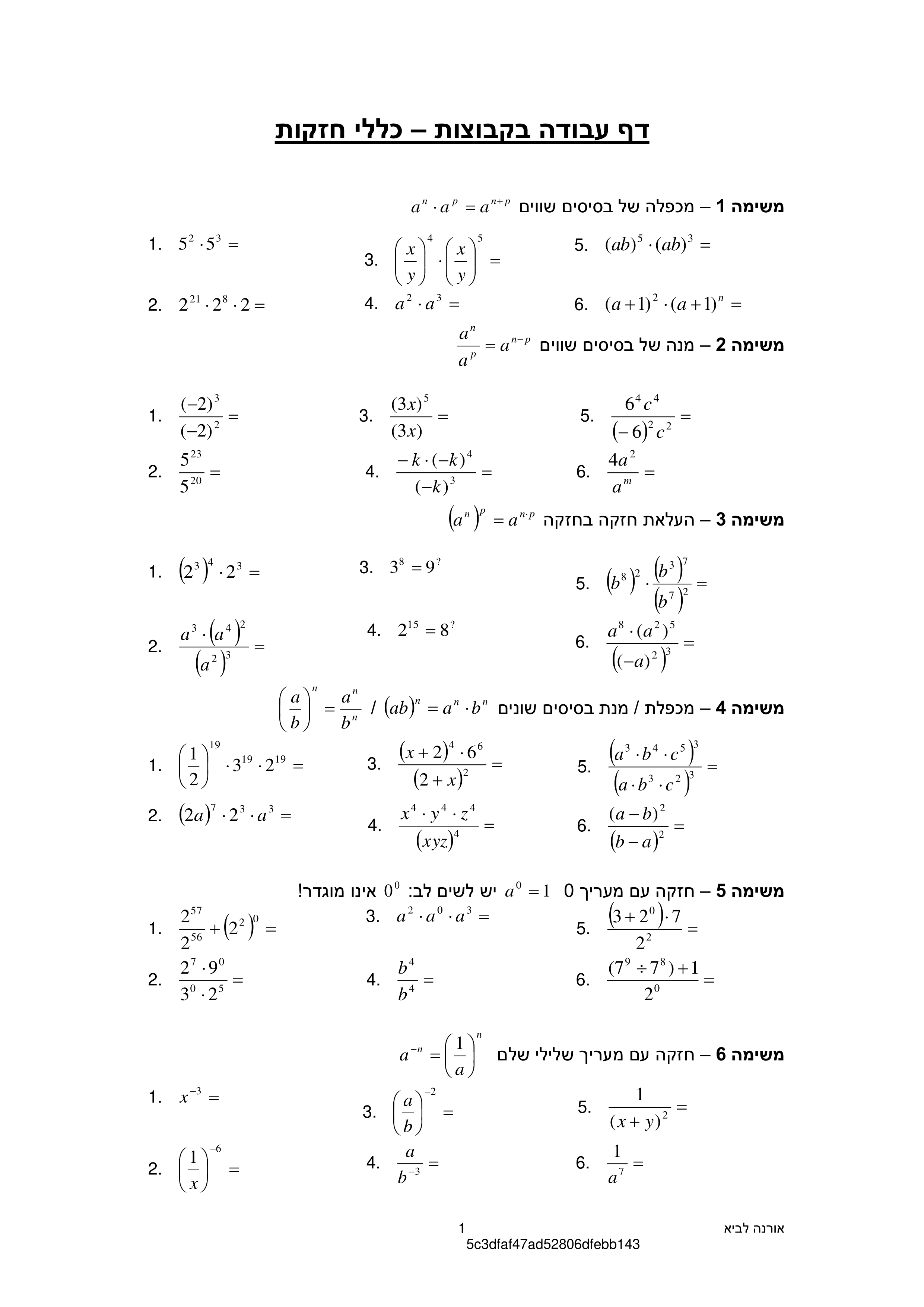
כללי חזקות
star
star
star
star
star
Last updated over 6 years ago
8 questions
Note from the author:
מתמטיקה בעברית

10
מצאו את ?
מצאו את ?
10
פשטו לפי כללי חזקות
פשטו לפי כללי חזקות

10
סמנו את התשובות הנכונות
סמנו את התשובות הנכונות
15
מהו ערכו של x?
מהו ערכו של x?
15

10
פתרו לפי כללי חזקות
פתרו לפי כללי חזקות

15
כתבו את המכפלה כחזקה אחת
כתבו את המכפלה כחזקה אחת
15
כתבו את המכפלה כחזקה אחת
כתבו את המכפלה כחזקה אחת