Log in
Sign up for FREE
arrow_back
Library
Probability Common Assessment
By Jerrilyn Walker
star
star
star
star
star
Share
share
Last updated almost 7 years ago
10 questions
Add this activity
zoom_in
zoom_in
2
1
3
4
zoom_in
10
10
MGSE7.SP.7.b
10
MGSE7.SP.5
10
MGSE7.SP.8.a
5
zoom_in
10
Question 5
5.
A
B
MGSE7.SP.7.b
6
7
zoom_in
10
Question 6
6.
MGSE7.SP.6
10
MGSE7.SP.7.a
8
zoom_in
10
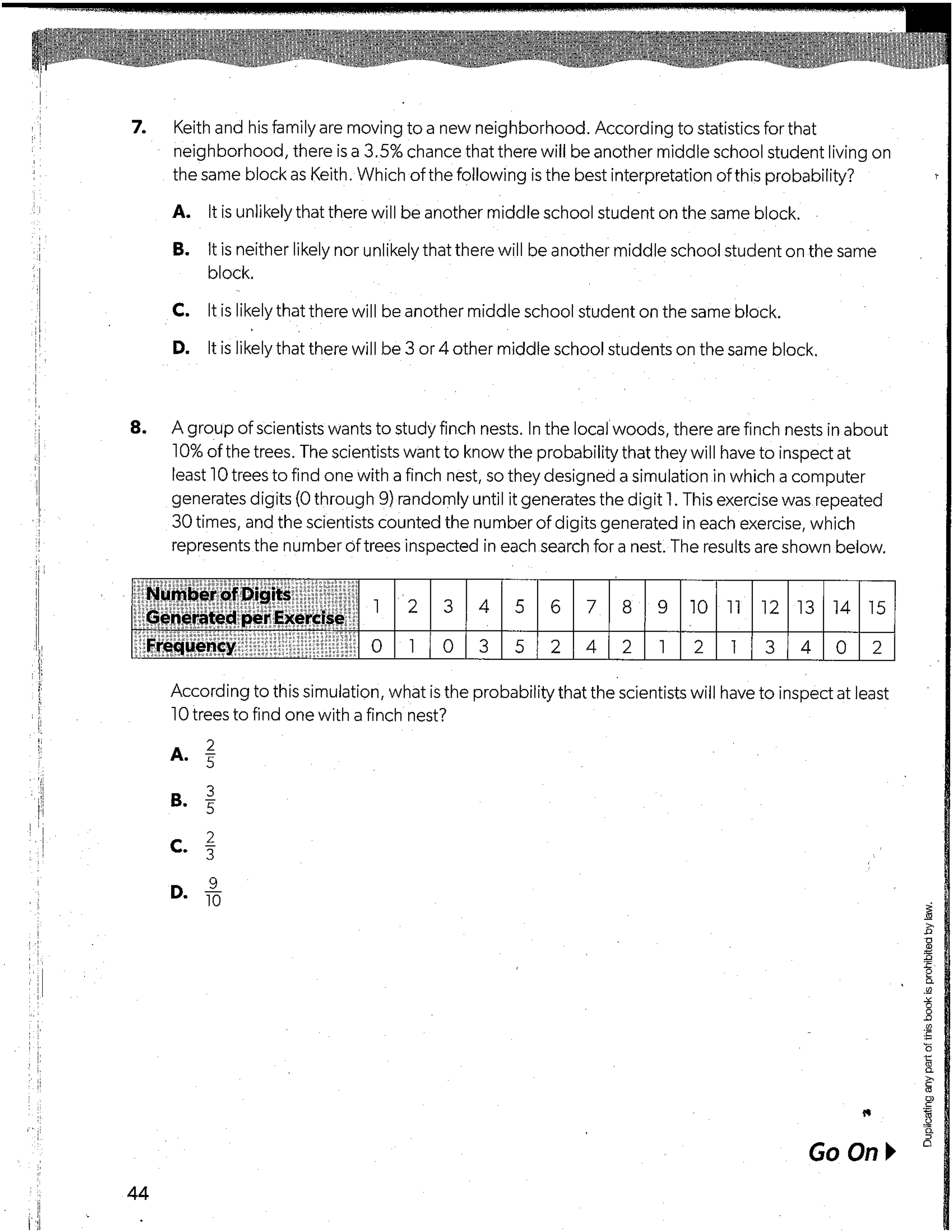
Question 8
8.
A
B
MGSE7.SP.8.b
9
10
zoom_in
10
Question 9
9.
MGSE7.SP.8.a
10
MGSE7.SP.8.a
Question 1
1.
A
B
C
D
Question 2
2.
A
B
C
D
Question 3
3.
A
B
C
D
Question 4
4.
A
B
C
D
C
D
A
B
C
D
Question 7
7.
A
B
C
D
C
D
A
B
C
D
Question 10
10.
A
B
C
D