March Mathness Week 2
star
star
star
star
star
Last updated over 3 years ago
3 questions
1
Simplify the following expression:
Simplify the following expression:
1
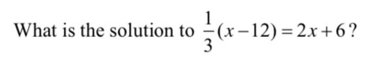
Solve the solution, JUST WRITE THE NUMBER!! x = ?
Solve the solution, JUST WRITE THE NUMBER!! x = ?
1
Simplify the radical expression:
Simplify the radical expression: