Log in
Sign up for FREE
arrow_back
Library

Geometry Unit 4 EOC Review

star
star
star
star
star
Last updated about 6 years ago
21 questions
1
1
1
1
1
1
1
1
1
1
1
1
1
1
1
1
1
1
1
1
1

UNIT 4: CIRCLES AND VOLUME

This unit investigates the properties of circles and addresses finding the volume of solids. Properties of circles are used to solve problems involving arcs, angles, sectors, chords, tangents, and secants. Volume formulas are derived and used to calculate the volumes of cylinders, pyramids, cones, and spheres.

Here are some helpful videos to help you review the unit.
Circle Basics
Angles and Arcs
Segment Lengths
Arc Length and Sectors
Volume
Question 1
1.

Circle P is dilated to form circle P′. Which statement is ALWAYS true?

Question 2
2.

In circle O, PS is a diameter. The measure of PR is 72º.
What is the measure of ∠SPR?

Question 3
3.

In the circle shown, BC is a diameter and arc AB = 120°.
What is the measure of ∠ABC?

Question 4
4.

Quadrilateral WXYZ is inscribed in this circle.

Which statement must be true?

Question 5
5.

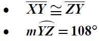
Isosceles triangle XYZ is inscribed in this circle.

What is the measure of ∠XYZ ?

Question 6
6.

In this diagram, segment QT is tangent to circle P at point T.
The measure of minor arc ST is 70º. What is m∠TQP?

Question 7
7.

Points R, S, T, and U lie on the circle. The measure of RU is represented by x. What is the value of x?

Question 8
8.

Points A, B, D and E lie on the circle. Point C is outside the circle.

What is the measure of ∠ACE?

Question 9
9.

A circular pizza with a diameter of 15 inches is cut into 8 equal slices. What is the area of one slice?

Question 10
10.

Circle A is shown.
If x = 50° , what is the area of the shaded sector of circle A? Round your answer to the nearest tenth. (Do not include units in your answer.)

Question 11
11.

Question 12
12.

Question 13
13.

The spokes of a bicycle wheel form 10 congruent central angles. The diameter of the circle formed by the outer edge of the wheel is 18 inches.


What is the length, to the nearest tenth inch, of the outer edge of the wheel between two consecutive spokes?

Question 14
14.

What is the volume of the cone shown below in cubic centimeters? (Don't include units in your answer.)

Question 15
15.

Jason constructed two cylinders using solid metal washers. The cylinders have the same height, but one of the cylinders is slanted as shown.


Which statement is true about Jason’s cylinders?

Question 16
16.

Use the formulas provided to answer the questions.
Question 17
17.

Find the volume in cubic centimeters. (Do not include the units in your answer.)

Question 18
18.

Find the volume in cubic meters. (Do not include the units in your answer.)

Question 19
19.

Find the volume in cubic meters. (Do not include the units in your answer.)

Question 20
20.

Find the volume in cubic meters. Round to the nearest tenth. (Do not include the units in your answer.)

Question 21
21.

Find the volume of the figure below. Round to the nearest cubic centimeter.

∠Z and ∠Y are supplementary.
108°
84°
Circle E is shown. What is the length of arc CD?

Circle Y is shown. What is the area of the shaded part of the circle?

25.4 inches
The cylinders have the same volume because the washers are solid.
The cylinders have the same volume because they have the same cross-sectional area at every plane parallel to the bases.
What is the volume of a cylinder with a radius of 3 in. and a height of 9/2 in.?