Log in
Sign up for FREE
arrow_back
Library
Organic naming
By Jennifer Forrest
star
star
star
star
star
Share
share
Last updated almost 7 years ago
10 questions
Add this activity
Note from the author:
Organic naming excercise
1
1
1
1
1
1
1
1
1
1
Question 1
1.
Which of the following structures represent the same substance ?
They are all the same.
i and ii are the same, iii is different.
i and iii are the same, ii is different.
ii and iii are the same, i is different.
Question 2
2.
The compound below is named:
(CH
3
)
2
C(OH)CH
2
CH
3
2-methylbutan-2-ol
2-ethylpropan-2-ol
4-methylbutan-3-ol
pentan-3-ol
Question 3
3.
The substance below is named:
2-ethyl-3-chlorobutan-4-ol
3-chloro-2-ethylbutan-4-ol
3-methyl-4-chloropentan-5-ol
2-chloro-3-methylpentan-1-ol
Question 4
4.
The structural formula below represents:
propan-1-ol
propan-2-ol
propan-3-ol
butan-1-ol
Question 5
5.
The compound C
3
H
6
O
2
could be :
I. an alcohol II. a carboxylic acid III. an ester
Which of the above statements is/are correct?
I only
I and II only
I and III only
II and III only
Question 6
6.
Name this compound:
Question 7
7.
Name the compound with the following line structure:
Question 8
8.
Name the organic compound represented by the following line structure:
Question 9
9.
Name the compound represented by the following condensed structural formula:
CH
3
(CH
2
)
3
CHOHCH
2
OH:
Question 10
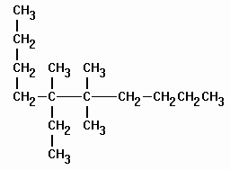
10.
Name the compound with the following structural formula: