Log in
Sign up for FREE
arrow_back
Library
SMS Alg 4/25 WU - Factoring Number Sense
By Malia Rivera
star
star
star
star
star
Share
share
Last updated almost 4 years ago
7 questions
Add this activity
1
2
3
title
zoom_in
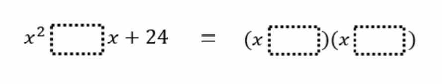
Create your own factorable trinomial by filling in the blanks.
There are many correct answers!
1
Question 1
1.
Write the
b
term that satisfies this polynomial.
1
Question 2
2.
Write your term that that goes in the
first
binomial.
1
4
5
6
7
title
zoom_in
Fill in the boxes that satisfy the following terms that are in the box and on the outside.
1
Question 4
4.
1
Question 5
5.
1
Question 6
6.
1
Question 7
7.
Question 3
3.
Write your term that that goes in the
second
binomial.