Log in
Sign up for FREE
arrow_back
Library
Text Structure Quiz -Form A
By Reneka Andrews
star
star
star
star
star
Share
share
Last updated over 3 years ago
20 questions
Add this activity
1
2
3
4
5
zoom_in
1 point
1
Question 1
1.
A
B
C
D
E
1 point
1
Question 2
2.
A
B
C
D
E
1 point
1
Question 3
3.
A
B
C
D
E
1 point
1
Question 4
4.
A
B
C
D
E
1 point
1
Question 5
5.
A
B
C
D
E
6
7
8
9
10
zoom_in
1 point
1
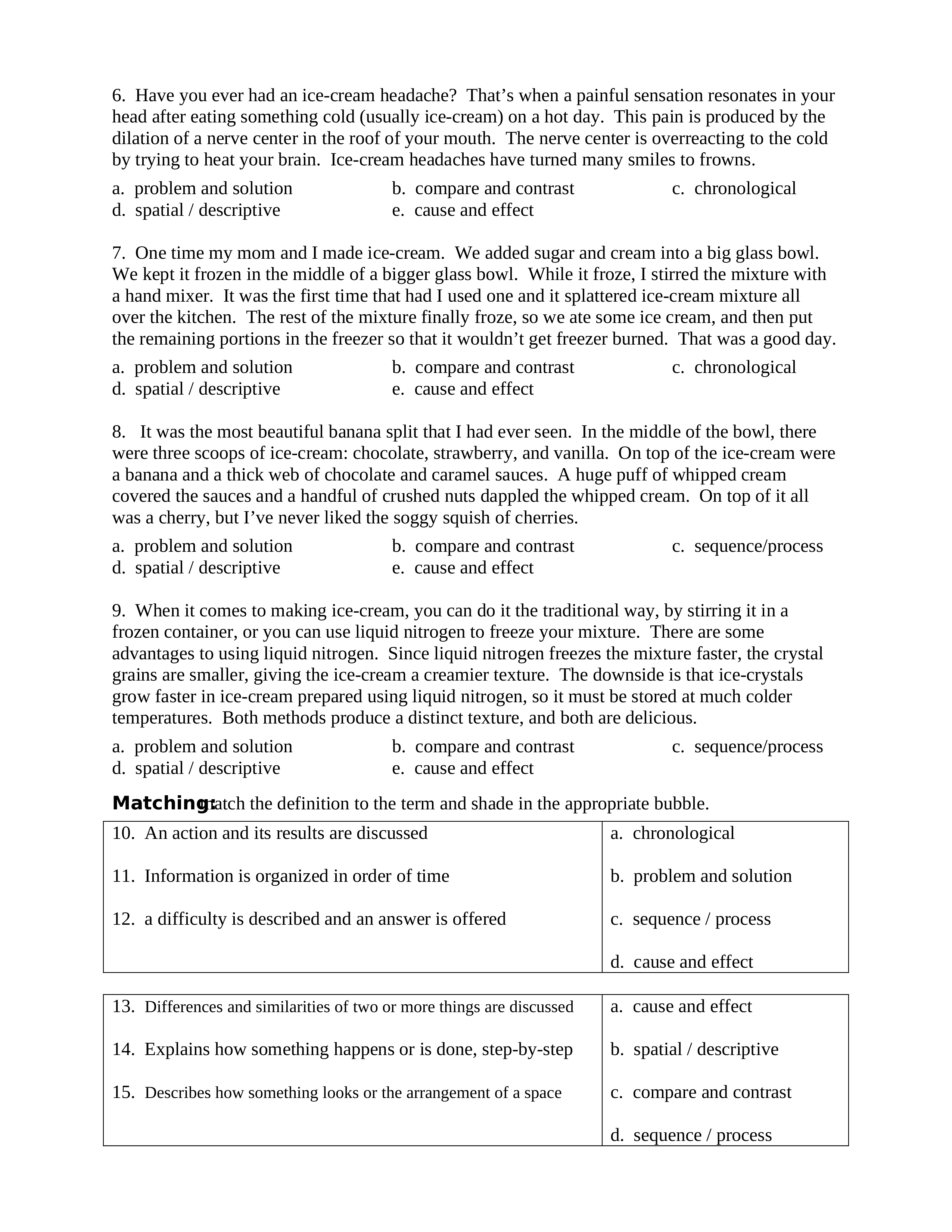
Question 6
6.
A
B
C
D
E
1 point
1
Question 7
7.
A
B
C
D
E
1 point
1
Question 8
8.
A
B
C
D
E
1 point
1
Question 9
9.
A
B
C
D
E
1 point
1
Question 10
10.
A
B
C
D
E
11
12
13
14
15
16
17
18
19
20
zoom_in
1 point
1
Question 11
11.
A
B
C
D
E
1 point
1
Question 12
12.
A
B
C
D
E
1 point
1
Question 13
13.
A
B
C
D
E
1 point
1
Question 14
14.
A
B
C
D
E
1 point
1
Question 15
15.
A
B
C
D
1 point
1
Question 16
16.
A
B
C
D
1 point
1
Question 17
17.
A
B
C
D
1 point
1
Question 18
18.
A
B
C
D
1 point
1
Question 19
19.
A
B
C
D
1 point
1
Question 20
20.
A
B
C
D
zoom_in
zoom_in
zoom_in
zoom_in
zoom_in
zoom_in
zoom_in
zoom_in
zoom_in
zoom_in
zoom_in
zoom_in
zoom_in
zoom_in
zoom_in
zoom_in
zoom_in
zoom_in