Log in
Sign up for FREE
arrow_back
Library

SMS ALG Unit 1 CFU: Expressions & Exponents

star
star
star
star
star
Last updated almost 4 years ago
5 questions
This is like a mini quiz. It is graded. I want to see what YOU know and remember. Once you submit you can see your score and which questions you go right or wrong. If you have the same answer, check with me. Maybe there is a typo or random space somewhere...

Do your best! 😄
1
1
1
1
1
Question 1
1.

Evaluate the expression using the values given.

Question 2
2.

Evaluate the expression using the given values. Round your answer to the nearest hundredth.

Question 3
3.

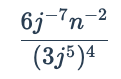
Simplify. Your answer should contain only positive exponents.

Question 4
4.

Simplify. Your answer should contain only positive exponents.

Question 5
5.

Simplify. Your answer should contain only positive exponents.