Log in
Sign up for FREE
arrow_back
Library

SMS ALG Unit 5 CFU - Systems of Equations

star
star
star
star
star
Last updated almost 4 years ago
3 questions
1
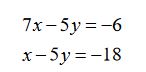
Question 1
1.

Solve the system of equations using any method.
Write your solution as an ordered pair with no spaces.

1
1
Question 3
3.

Question 2
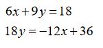
2.

How many solutions does this system have?

A local community sold 125 concert tickets recently. The dollar amound collected was $835. Adult tickets, x, sold for $8 each and children tickets, y, sold for $5 each.

Write an ordered pair for the number of adult (x) and children (y) tickets sold. No spaces!!
Infinitely many solutions