Log in
Sign up for FREE
arrow_back
Library
SMS ALG Unit 6 CFU - Inequalities
By Malia Rivera
star
star
star
star
star
Share
share
Last updated almost 4 years ago
3 questions
Add this activity
1
Question 1
1.
Solve the inequality.
1
1
Question 2
2.
visibility
View drawing
Question 3
3.
Write the inequality that is shown by the graph below.
visibility
View drawing
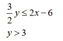
Which graph represents the solution to this system of inequalities?