Log in
Sign up for FREE
arrow_back
Library
ЕГЭ-5 (Лин.Ур.-2)
By Ксения Свешникова
star
star
star
star
star
Share
share
Last updated about 6 years ago
5 questions
Add this activity
1 point
1
Question 1
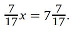
1.
1 point
1
Question 2
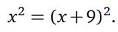
2.
1 point
1
Question 3
3.
1 point
1
Question 4
4.
1 point
1
Question 5
5.