Log in
Sign up for FREE
arrow_back
Library
Mathematics Grade 11: Algebra
By LEAVE MABEGWANE
star
star
star
star
star
Share
share
Last updated over 6 years ago
5 questions
Add this activity
Note from the author:
Algebra
2
Question 1
1.
visibility
View drawing
2
2
2
2
Solve for x:
Question 2
2.
Solve for x by using quadratic formula:
visibility
View drawing
Question 3
3.
Solve for x by completing squares:
visibility
View drawing
Question 4
4.
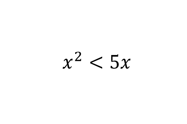
Solve the inequality for x:
visibility
View drawing
Question 5
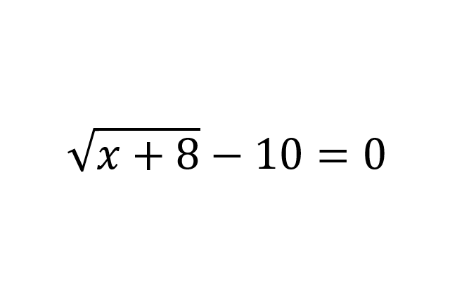
5.
visibility
View drawing