Log in
Sign up for FREE
arrow_back
Library

5- Mitocôndrias

star
star
star
star
star
Last updated almost 6 years ago
16 questions
Note from the author:
1
1
1
1
1
1
1
1
1
1
1
1
1
1
1
1
Favor estudar e fazer os exercícios
Question 1
1.

Citar os mecanismos que as células utilizam para produzir energia.

Question 2
2.

Citar os mecanismos que as células utilizam para produzir energia.

Question 3
3.

Definir fosforilação Oxidativa.

Question 4
4.

Qual a importância da Acetilcoenzima A (Acetil-Coa).

Question 5
5.

Qual a importância do ciclo do ácido cítrico (ciclo de Krebs).

Question 6
6.

Qual a importância da cadeia transportadora de elétrons.

Question 7
7.

Descrever a mitocôndria do ponto de vista morfológico e funcional.

Question 8
8.

Citar a relação entre o nº de mitocôndrias nas células e o grau de atividade celular.

Question 9
9.

Citar o fator que determina a distribuição das mitocôdrias nas células.

Question 10
10.

Descrever a ultraestrutura de uma mitocôndria.

Question 11
11.

Citar a localização, na mitocôndria: do ciclo de Krebs, β oxidação dos ácidos graxos, cadeia transportadora de elétrons e da sátese de ATP.

Question 12
12.

Citar a relação funcional entre o número de cristas e o grau de atividade respiratória da mitocôndria.

Question 13
13.

Descrever sobre a biogênese da mitocôndria.

Question 14
14.

Descrever a teoria quimiosmótica.

Question 15
15.

Como funciona a termogenina.

Question 16
16.

O que você poderia dizer sobre genética mitocondrial?

Mitocôndria
A energia utilizada pela célula para realizar suas atividades provém da ruptura gradual de ligações covalentes de molécuclas de compostos orgânicos ricos em energia.
Ex : Hidratos de Carbono e Gorduras.

A células utilizam diretamente a energia liberada da adenosina-trifosfato (ATP).

Elas apresentam dois mecanismos para retirar energia dos nutrientes :
Glicólise Anaeróbia:
É o processo no qual uma seqüência de 11 enzimas promovem transformações graduais numa molécula de glicose, sem consumo de oxigênio, com a produção de duas moléculas de piruvato e liberando energia que será armazenada no ATP ( 2 ATP) .

Fosforilação Oxidativa:
É uma via metabólica de maior rendimento energético que a glicólise. De cada mol de glicose são produzidos 38 ATP.

NA fosforilação Oxidativa existem 3 mecanismos distintos (intimamente relacionados):
1. Produção de Acetilcoenzima A (acetil-CoA): A Acetil-CoA é produzida a partir da coenzima A e de acetato originados do piruvato ou da β-oxidação dos ácido graxos. A transformação do piruvato em acetil-coA é realizada por um sistema multienzimático, conhecido por complexo desidrogenase do piruvato, localizado na matriz mitocondrial. Enzimas presentes nas duas membranas mitocondriais transferem ácidos graxos para a
matriz mitocondrial onde eles serão degrados por um ciclo de reações denominado por β-oxidação dos ácido graxos.

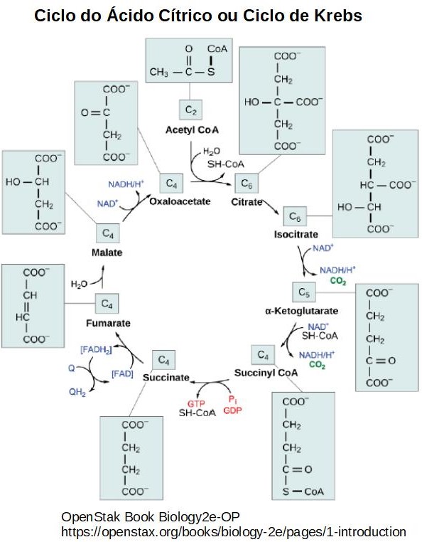
2. Ciclo do ácido cítrico ou Ciclo de Krebs: É uma sequência cíclica de reações enzimáticas (desidrogenases) na qual ocorre a liberação de prótons e elétrons. Os elétrons são capturados por moléculas protéicas complexas como NAD (Nicotinamida Adenina Dinucleotídeo ), o FAD (Flavina Adenina Dinucleotídeo) e os citocromos. O ciclo do ácido cítrico produz elétrons com alta energia, protons, CO2 e matabólitos para a síntese de aminoácidos e hidratos de carbono.

3. O Sistema transportador de elétrons: É uma cadeia formada por enzimas e compostos não enzimáticos, localizados na membrana interna da mitocôndria, com a função de transportar elétrons. Esse processo produz 38 mols de ATP por mol de glicose consumida.



Localização e Morfologia da Mitocôndria
Localização: As mitocôndrias estão presentes no citoplasma das células eucariontes, elas podem estar em toda célula ou se concentrar em locais onde há grande necessidade energética. Ex: Próximo dos cílios no epitélio ciliado, próximo dos flagelos, entre os feixes de miofibrilas nas células musculares estriadas, etc.

Morfologia:
As mitocôndrias apresentam forma arredondada ou alongada, quando é observada na microscopia eletrônica de transmissão elas apresentam duas membranas que envolvem o espaço interno. As membranas são bicamadas de fosfolipídeos, contendo pouca quantidade de outros lipídeos. A membrana externa é lisa e muito permeável á diversos tipos de moléculas. Essa permeabilidade é devida à presença de proteínas intercaladas na membrana. A membrana interna tem muita semelhança com as membranas das bactérias e contém a cadeia transportadora de elétrons. Ela possui invaginações em forma de prateleiras formando as cristas mitocondriais. Em células que sintetizam esteróides as cristas podem ter a forma tubular. Na membrana interna é que estão localizados os corpúsculos elementares onde ocorre a produção do ATP e calor. A matriz celular é encontrada no interior da mitocondria e apresenta inúmeros grânulos eletrodensos. Nessa matriz estão inseridos o material genético e os ribossomos.

Hipótese para origem da Mitocôndria
* A dupla-hélice de DNA é circular.
* Ribossomos têm um coeficiente de sedimentação em torno de 55S (mais próximo do de bactérias).
* Síntese de proteínas na mitocôndria é inibida por cloranfenicol (antibiótico).
* O aminoácido iniciador da tradução não é a metionina, mas sim a formilmetionina, como em procariotos.
* A membrana interna possui um alto conteúdo do lipídio cardiolipina, assim como a membrana plasmática de bactérias.

Biogênese das Mitocôndrias
* Embora as mitocôndrias contenham DNA, este não contém todas as informações para que a organela possa “sobreviver” independentemente do resto da célula.
* Apenas 13 proteínas são codificadas pelo DNA mitocondrial.
*Para que a mitocôndria possa realizar todos os processos de replicação, transcrição e tradução, é necessário que proteínas ribossomais, aminoácidos, etc... sejam importados do citosol.
*Algumas doenças degenerativas já foram associadas a mutações no DNA mitocondrial (que apresenta uma taxa de mutação maior do que o DNA nuclear por não ter a maquinaria de reparo).

Bibliografia
JUNQUEIRA, L.C.U & CARNEIRO,L. 2005. Biologia Celular e Molecular, 8 Ed. Guanabara Koogan, Rio de Janeiro.