Log in
Sign up for FREE
arrow_back
Library
Unit 1 - Unit 3- Exponential -Log Functions
By Julia Furr
star
star
star
star
star
Share
share
Last updated over 6 years ago
7 questions
Add this activity
1
Question 1
1.
1
1
1
1
1
1
Question 2
2.
0
3
27
1
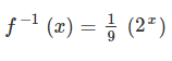
Question 3
3.
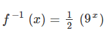
Question 4
4.
Solve:
Question 5
5.
Two functions shown below: What is the y-value when f(x) = g(x)
We have released a new and improved Graphing question type! Students will no longer be able to answer this question.
Question 6
6.
The graph of f(x) is shifted up
The graph of f(x) is shifted down
The graph of f(x) is stretched vertically
The graph of f(x) is compressed vertically
Question 7
7.
Evaluate the graph at the specified domain
3f(-4) + 5f(-2)