Log in
Sign up for FREE
arrow_back
Library
Слож/вычитание РД
By Ксения Свешникова
star
star
star
star
star
Share
share
Last updated over 6 years ago
7 questions
Add this activity
1
1
1
1
2
Question 5
5.
2
1
Question 1
1.
Question 2
2.
Question 3
3.
Question 4
4.
Каково значение выражения
если
c
- значение выражения
Question 6
6.
Если получился дробный результат, то ответ введите в виде десятичной дроби через запятую
Question 7
7.
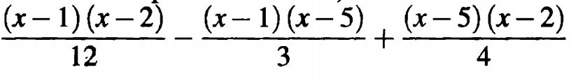
Выполните вычитание дробей
После упрощения выражение
примет вид:
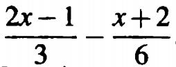
Выполните сложение дробей
Выражение
тождественно равно: