Log in
Sign up for FREE
arrow_back
Library
Quiz 10/18/2019
By Christopher Grigg
star
star
star
star
star
Share
share
Last updated over 3 years ago
15 questions
Add this activity
1
1
1
1
1
1
1
1
1
1
1
1
1
1
1
Question 1
1.
Which of the following is used to measure speed?
kilometers
ounces
hours per picometer
kilometers per minute
Question 2
2.
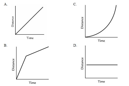
Which of the graphs above shows a car stopped at a stop sign.
A
B
C
D
Question 3
3.
Which of the graphs above shows a car moving at a steady speed and then slows down.
A
B
C
D
Question 4
4.
Which of the graphs above shows a car accelerating.
A
B
C
D
Question 5
5.
Which of the graphs above shows a car moving at a steady speed.
A
B
C
D
Question 6
6.
A dragon flies 500 kilometers in 5 hours. What is the dragon's speed?
2500 kilometers per hour
2500 hours per kilometer
100 kilometers per hour
100 hours per kilometer
Question 7
7.
Which of the following describes an object that is slowing down? The object is ________
decelerating.
accelerating.
in a frictionless environment.
moving with constant speed.
Question 8
8.
The length measured between two points is called _______
Force
Disadvantage
Deceleration
Distance
Question 9
9.
The process of slowing down or stopping is called ___________
Force
Disadvantage
Deceleration
Distance
Question 10
10.
A push or a pull is _______
Force
Disadvantage
Deceleration
Distance
Question 11
11.
A time Interval is __________
To permit or cause energy to pass through a medium.
The time between two events.
A disease carried by water, such as cholera.
A push or a pull.
Question 12
12.
In the Mass and Collision lab, what was a
controlled variable ?
How far the block moved.
The track we used for each trial.
The amount of mass in the cart.
If a heavier cart pushes the block further and we make the cart heavier then the block will be pushed farther.
Question 13
13.
In the Mass and Collision lab, what was a
hypothesis?
How far the block moved.
The track we used for each trial.
The amount of mass in the cart.
If a heavier cart pushes the block further and we make the cart heavier then the block will be pushed farther.
Question 14
14.
In the Mass and Collision lab, what was the
dependant variable
?
How far the block moved.
The track we used for each trial.
The amount of mass in the cart.
Question 15
15.
In the Mass and Collision lab, what was the
independant variable
?
How far the block moved.
The track we used for each trial.
The amount of mass in the cart.
If a heavier cart pushes the block further and we make the cart heavier then the block will be pushed farther.
If a heavier cart pushes the block further and we make the cart heavier then the block will be pushed farther.