Log in
Sign up for FREE
arrow_back
Library
What is a Mineral Worksheet
By Craig Fisher
star
star
star
star
star
Share
share
Last updated over 5 years ago
18 questions
Add this activity
1
2
3
4
5
6
7
8
9
zoom_in
2
2
2
2
2
2
2
2
2
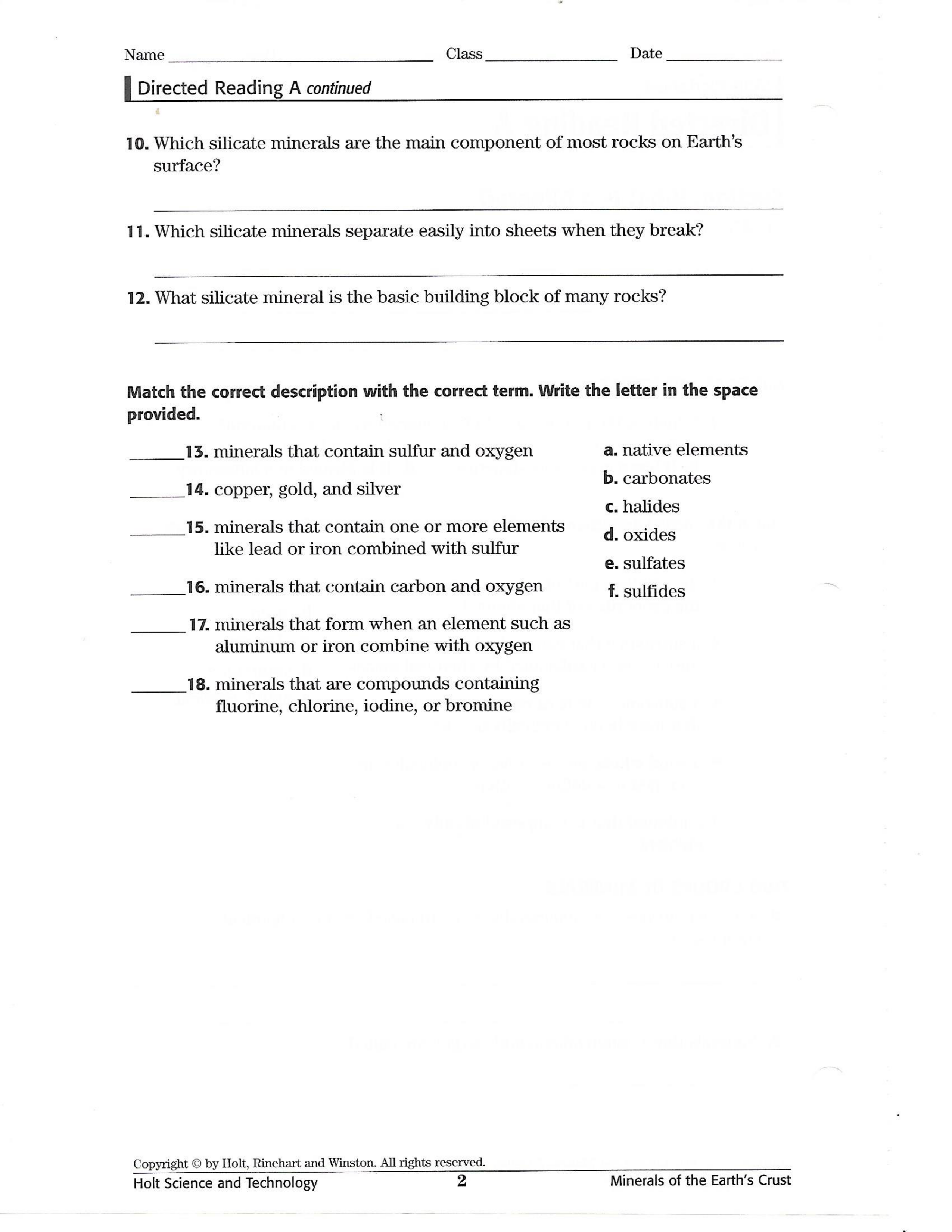
10
11
12
13
14
15
16
17
18
zoom_in
2
2
2
2
2
2
2
2
2
Do
NOT
forget to turn in this assignment on Google Classroom after you have submitted it here! No credit will be awarded for unsubmitted assignments.
Question 1
1.
Question 2
2.
A
B
C
D
Question 3
3.
A
B
C
D
Question 4
4.
A
B
C
D
Question 5
5.
A
B
C
D
Question 6
6.
A
B
C
D
Question 7
7.
A
B
C
D
Question 8
8.
Question 9
9.
Question 10
10.
Question 11
11.
Question 12
12.
Question 13
13.
A
B
Question 14
14.
A
B
Question 15
15.
A
B
Question 16
16.
A
B
Question 17
17.
A
B
Question 18
18.
A
B
E
E
E
E
E
C
D
E
F
C
D
E
F
C
D
E
F
C
D
E
F
C
D
E
F
C
D
E
F