Спектрлік сызықтар
star
star
star
star
star
Last updated about 6 years ago
8 questions
Note from the author:
Physics
1
Сутегі атомының спектрлік сызықтарының жұқа құрылымын сипатта
Сутегі атомының спектрлік сызықтарының жұқа құрылымын сипатта
1
Резерфорд атом моделін сипаттап жаз:
Резерфорд атом моделін сипаттап жаз:
1
Атом энергетикалық деңгейінің өзгеруіне және жұқа құрылымының пайда болуына себеп болатын құбылыс:
Атом энергетикалық деңгейінің өзгеруіне және жұқа құрылымының пайда болуына себеп болатын құбылыс:
1
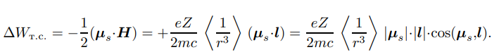
Берілген теңдеу нені көрсетеді
Берілген теңдеу нені көрсетеді
1
Атом энергетикалық деңгейлерінің төмеңгі деңгейлеріне ыдырауы неге байланысты?
Атом энергетикалық деңгейлерінің төмеңгі деңгейлеріне ыдырауы неге байланысты?
1
Натрий атомындағы жұқа құрылыстың пайда болуын суреттеңіз
Натрий атомындағы жұқа құрылыстың пайда болуын суреттеңіз
1
Жеңіл атомдары үшін жұқа ыдырау энергиясы 10^-4 эв аспайды
Жеңіл атомдары үшін жұқа ыдырау энергиясы 10^-4 эв аспайды
1
Қай кезде спектрлік сызықтарының "жұқа" құрылысы байқалмайды
Қай кезде спектрлік сызықтарының "жұқа" құрылысы байқалмайды
