Log in
Sign up for FREE
arrow_back
Library

Rainy Quiz 11/15/2019

star
star
star
star
star
Last updated over 3 years ago
16 questions
1
1
1
1
1
1
1
1
1
1
1
1
1
1
1
1
Question 1
1.

Question 2
2.

Question 3
3.

Question 4
4.

Question 5
5.

Question 6
6.

Question 7
7.

Question 8
8.

Question 9
9.

Question 10
10.

Question 11
11.

Question 12
12.

Question 13
13.

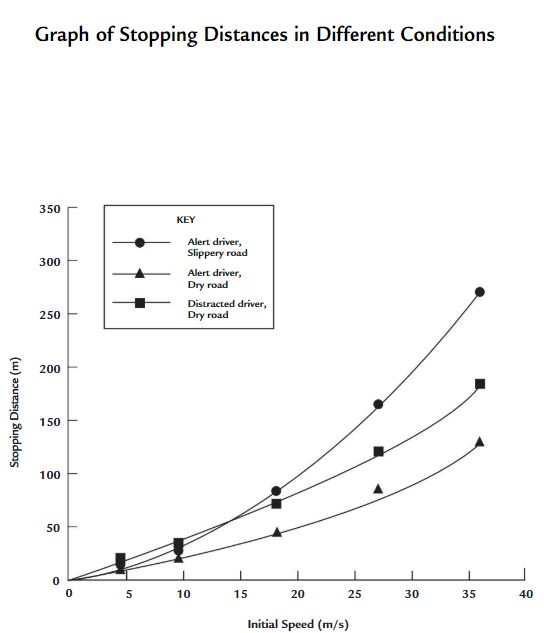
Use the graph below to answer the next 2 questions.
Question 14
14.

Question 15
15.

Question 16
16.

Which of the following is used to measure speed?
kilometers
seconds
hours per picometer
kilometers per minute
If there is no force acting on an object, it will
move with the same speed and direction.
move at the same speed.
eventually slow down and stop.
move in the same direction.
What object has more inertia?
baseball
soccerball
bowlingball
ping pong ball
Which of the graphs above shows a car stopped waiting for a dog to cross the road?
A
B
C
D
A dragon flies 500 kilometers in 5 hours. What is the dragon's speed?
2500 kilometers per hour
2500 hours per kilometer
100 kilometers per hour
100 hours per kilometer
A rock floats through space at a steady 9.8 meters per second. What is the rock's acceleration?
9.8 m/s
9.8 m/s2
3.1415926535897932384626433832795028841971693993751058209
0
Which of the following describes an object that is slowing down? The object is
decelerating.
accelerating.
in a frictionless environment.
moving with constant speed.
What is the force needed to accelerate a 50 kg object at 2 m/s2?
5 N
25 N
100 N
.04 N
The length measured between two points.
Force
Disadvantage
Deceleration
Distance
A property that, in your opinion, is bad.
Force
Disadvantage
Deceleration
Distance
The process of slowing down or stopping.
Force
Disadvantage
Deceleration
Distance
A push or a pull.
Force
Disadvantage
Deceleration
Distance
Time Interval
To permit or cause energy to pass through a medium.
The time between two events.
A disease carried by water, such as cholera.
A push or a pull.
You are driving on a dry road and distracted. You are going15 meters/second. A coke can is 150 meters from your car. You push the brake. Are you going to hit the can?
yes
no
You are driving on a wet road and alert. You are going 27 meters/second. An IPhone 16s is 50 meters from your car. You push the brake. Are you going to hit the IPhone 16s?
yes
no
My stopping distance is 30 meters and my braking distance is 20 meters. What is my reaction distance?
5 meters
10 meters
15 meters
40 meters