Slope Applications
star
star
star
star
star
Last updated over 3 years ago
20 questions

1
1
1
1
1
1
1
1

1
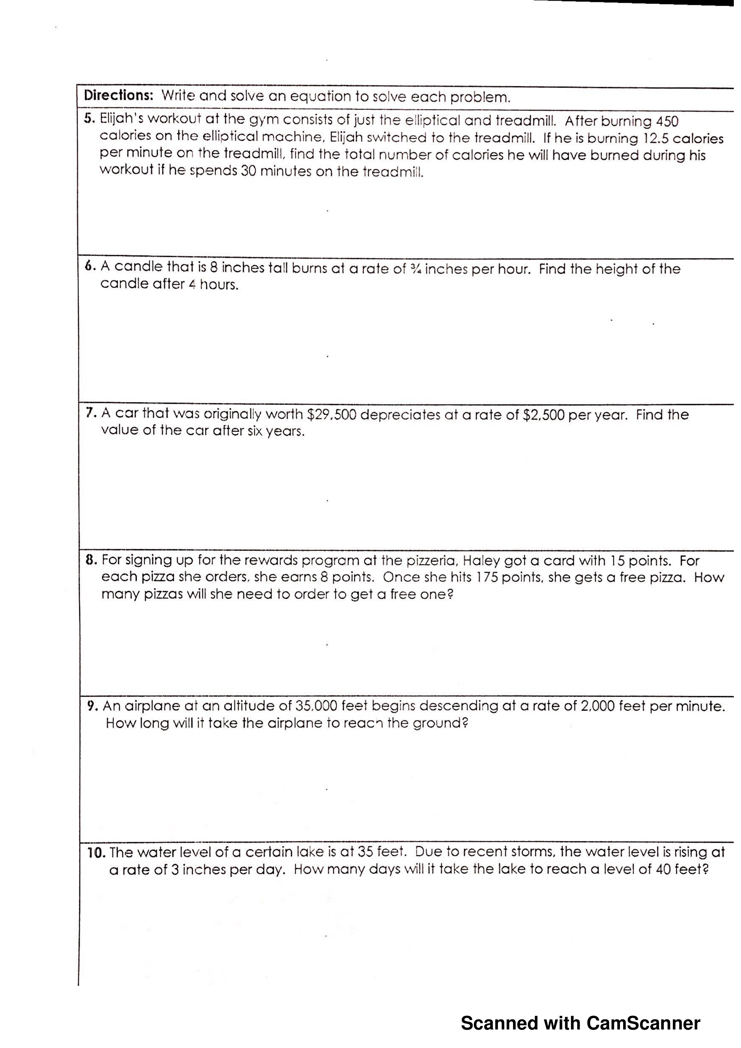
Write the slope-intercept form equation for this problem.
Write the slope-intercept form equation for this problem.
1
Find the answer to the problem.
Find the answer to the problem.
1
Write the slope-intercept form equation for this problem.
Write the slope-intercept form equation for this problem.
1
Find the answer to the problem.
Find the answer to the problem.
1
Write the slope-intercept form equation for this problem.
Write the slope-intercept form equation for this problem.
1
Find the answer to the problem.
Find the answer to the problem.
1
Write the slope-intercept form equation for this problem.
Write the slope-intercept form equation for this problem.
1
Find the answer to the problem.
Find the answer to the problem.
1
Write the slope-intercept form equation for this problem.
Write the slope-intercept form equation for this problem.
1
Find the answer to the problem.
Find the answer to the problem.
1
Write the slope-intercept form equation for this problem.
Write the slope-intercept form equation for this problem.
1
Find the answer to the problem.
Find the answer to the problem.