Log in
Sign up for FREE
arrow_back
Library
Ch7.2 Order of Operations
By Men Sam
star
star
star
star
star
Share
share
Last updated 9 months ago
12 questions
Add this activity
Instructions
1
1
1
1
1
1
1
1
1
1
1
1
Instant feedback
Always show your work when asked.
https://youtu.be/dAgfnK528RA
Question 1
1.
visibility
View drawing
Question 2
2.
visibility
View drawing
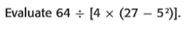
Question 3
3.
visibility
View drawing
Question 4
4.
visibility
View drawing
Question 5
5.
visibility
View drawing
Question 6
6.
visibility
View drawing
Question 7
7.
Sample Answer: 12
visibility
View drawing
Question 8
8.
Hint: (35 mins how many times) + (55 mins how many times)
Sample Answer: [expression] ; [answer]
visibility
View drawing
Question 9
9.
visibility
View drawing
Question 10
10.
visibility
View drawing
Question 11
11.
Sample Answer: up ; right
visibility
View drawing
Question 12
12.
Sample Answer: [expression]
visibility
View drawing