Log in
Sign up for FREE
arrow_back
Library
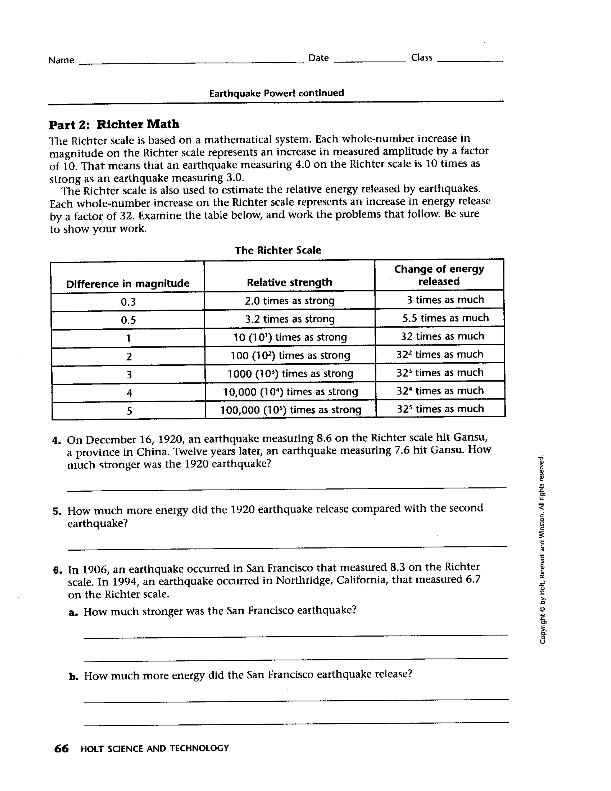
Earthquake Power Enrichment Worksheet
By Craig Fisher
star
star
star
star
star
Share
share
Last updated about 5 years ago
7 questions
Add this activity
1
2
3
zoom_in
2 points
2
Question 1
1.
2 points
2
Question 2
2.
2 points
2
Question 3
3.
4
5
6
7
zoom_in
2 points
2
Question 4
4.
2 points
2
Question 5
5.
2 points
2
Question 6
6.
2 points
2
Question 7
7.
Do
NOT
forget to turn in this assignment on Google Classroom after you have submitted it here! No credit will be awarded for unsubmitted assignments.