Log in
Sign up for FREE
arrow_back
Library

#11 - Inverse Variation Review

star
star
star
star
star
Last updated almost 4 years ago
9 questions
1
1
1
1
1
1
1
1
1
Inverse and direct variation can be easy to mix up.

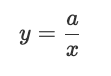
With inverse variation, the x times the y is always the same number. That is the constant of variation (a), so the equation that represents the relationship looks like:

With direct variation, the y divided by the x is always the same number. That is the constant of variation (a), so the equation that represents the relationship looks like:

If the relationship between the x- and y-values is anything else, it does not represent direct or inverse variation!
Question 1
1.

Tell whether the table represents direct variation, inverse variation, or neither. If it is direct or inverse variation, write the equation.

Question 2
2.

If it is direct or inverse variation, write the equation. If it is neither, just type neither.

Question 3
3.

Tell whether the table represents direct variation, inverse variation, or neither. If it is direct or inverse variation, write the equation.

Question 4
4.

If it is direct or inverse variation, write the equation. If it is neither, just type neither.

Question 5
5.

Tell whether the table represents direct variation, inverse variation, or neither. If it is direct or inverse variation, write the equation.

Question 6
6.

If it is direct or inverse variation, write the equation. If it is neither, just type neither.

Question 7
7.

Select the three points that will create a relation that has inverse variation.

Question 8
8.

Question 9
9.

(1, 20)
(2, 10)
(2, 40)
(4, 5)
(4, 80)
(5, 100)
Which of the following tables indicates that x and y vary inversely?
Which of the following tables indicates that x and y vary inversely?