Log in
Sign up for FREE
arrow_back
Library

Lesson 4

star
star
star
star
star
Last updated over 5 years ago
8 questions
1
1
1
1
3
4
5
5
Decide whether or not each equation represents a proportional relationship.
Question 1
1.

Question 2
2.

Question 3
3.

Question 4
4.

Question 5
5.

Last week, it rained g inches. This week, the amount of rain decreased by 5%. Which expressions represent the amount of rain that fell this week? Select all that apply.

Question 6
6.

The table shows five transactions and the resulting account balance in a bank account, except some numbers are missing. Fill in the missing numbers.

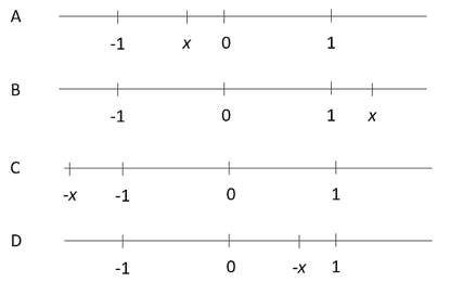
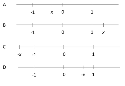
In each diagram, x represents a different value. For each diagram,
Question 7
7.

What is something that is definitely true about the value of x?

Question 8
8.

What is something that could be true about the value of x?

g - 0.05g
0.95g
0.05g
(1 - 0.05)g