Geometry Chap 17 Quiz
star
star
star
star
star
Last updated over 5 years ago
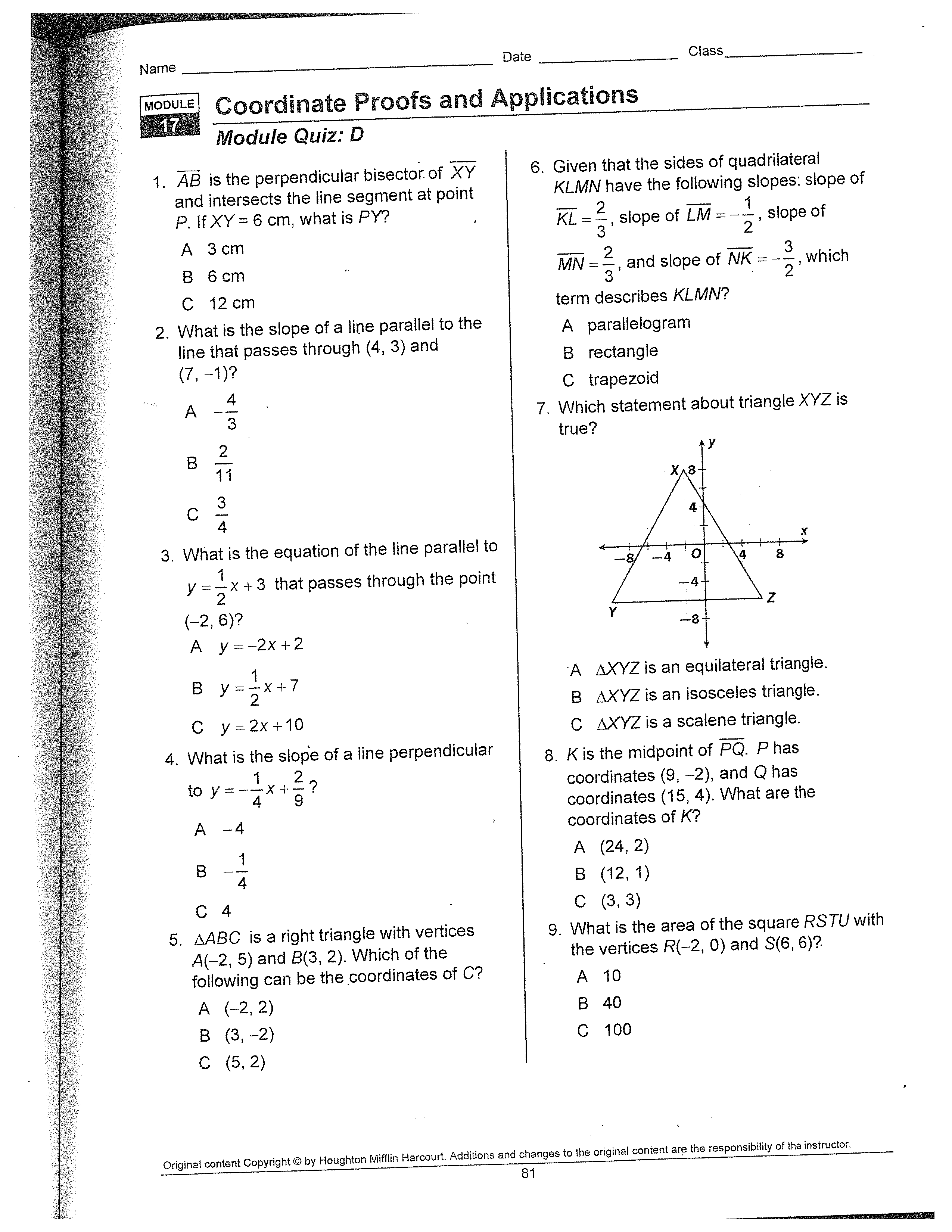
16 questions

1
What is PY?
What is PY?
1
slope?
slope?
1
1
slope?
slope?
1
coordinates of C?
coordinates of C?
1
KLMN is a?
KLMN is a?
1
Which is true?
Which is true?
1
Coordinates of K?
Coordinates of K?
1
Area?
Area?

1
What are the slopes?
What are the slopes?
| Draggable item | arrow_right_alt | Corresponding Item |
|---|---|---|
RS | arrow_right_alt | 0 |
UR | arrow_right_alt | 8 |
ST | arrow_right_alt | 0 |
TU | arrow_right_alt | 8 |
1
Justify your answer.
Justify your answer.
1
Equation of the line
Equation of the line
1
Midpoint of XY?
Midpoint of XY?
1
Round to the nearest tenth. Convert radicand to a decimal.
Round to the nearest tenth. Convert radicand to a decimal.
1
Rhombus?
Rhombus?
1
Area in square units? Just put the number.
Area in square units? Just put the number.