Log in
Sign up for FREE
arrow_back
Library

Completing the Square with Algebra Tiles

star
star
star
star
star
Last updated almost 6 years ago
14 questions
1
1
1
1
1
1
1
1
1
1
1
1
1
1

On the workspace below, scroll down the left column until you find "Algebra Tiles."
Use this applet along with this Formative to investigate Completing the Square.
Question 1
1.

Using the Mathigon applet above, drag all tiles needed to represent


Try it yourself. Use the "Download Image" tool at the bottom to save, then add the image below.

Question 2
2.

Now, rearrange your tiles into a square. Make sure to use all of the tiles to create the square!


Try it yourself. Upload your image into the workspace below.

If you're still having touble, check out this video of Mrs. Garmon working through questions 1-2.
Question 3
3.

Write an expression that describes the width of the square created above.

Question 4
4.

Write an expression that describes the length of the square created above.

Question 5
5.

What is true about the length and width of the square?

After you've tried #3-5, check out the video from Mrs. Garmon for some help!
Question 6
6.

Another perfect square trinomial is
Use algebra tiles to arrange this trinomial into a square. Then, identify the expression of the length and width.
Write the perfect square trinomal as a binomial squared.

Question 7
7.

Complete the square:

Question 8
8.

How can the trinomial be rewritten?

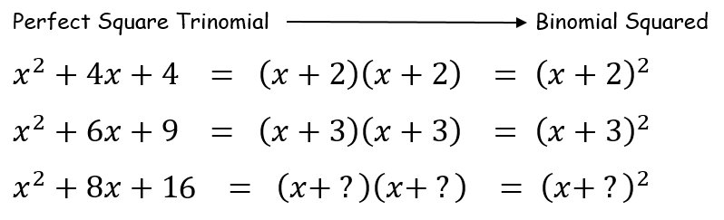
These expressions are called perfect square trinomials because:
  1. they have three terms (TRINOMIAL)
  2. VISUALLY: they can be arranged into a square (with equal width and length sides)
  3. ALGEBRAICALLY: they can be re-written as a binomial squared ( __ + __ )2 (hence a PERFECT SQUARE)

Since Perfect Square Trinomials are easy to rewrite, it is helpful to know how to CREATE them!

Let's say that we're given x2 + 12x + ____. What value will COMPLETE THE SQUARE?
(How many 1's do we need to add?)
Question 9
9.

Use Algebra Tiles to help you complete the square:

Question 10
10.

x2 - 8x + 16 can be rewritten as:

Can you spot a pattern?

A couple more...
Question 11
11.

Complete the square:

Question 12
12.

Now, rewrite the trinomial as a binomial squared. ( ___ + ___ )2

Question 13
13.

Question 14
14.

How can the trinomial be rewritten? (See THIS VIDEO for inspiration!)

Tomorrow, we will use this concept with circle equations!


Can you complete the square in this algebraic expression? (See THIS VIDEO for inspiration!)