Log in
Sign up for FREE
arrow_back
Library
Graphing Parabolas
By Krista Smith
star
star
star
star
star
Share
share
Last updated almost 6 years ago
12 questions
Add this activity
1
1
1
1
1
1
1
1
1
1
1
1
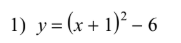
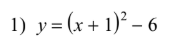
Question 1
1.
Find the vertex.
(-1,6)
(1,6)
(-1,-6)
(1,-6)
Question 2
2.
Graph the parabola.
visibility
View drawing
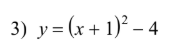
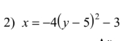
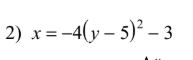
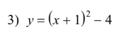
Question 3
3.
Find the vertex.
(-5,3)
(5,-3)
(5,3)
(-5,-3)
Question 4
4.
Graph the parabola.
visibility
View drawing
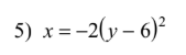
Question 5
5.
Find the vertex.
(-1,-4)
(-1,4)
(1,4)
(1,-4)
Question 6
6.
Graph the parabola.
visibility
View drawing
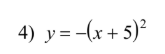
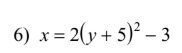
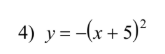
Question 7
7.
Find the vertex.
(0,5)
(0,-5)
(-5,0)
(5,0)
Question 8
8.
Graph the parabola.
visibility
View drawing
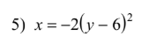
Question 9
9.
Find the vertex.
(6,0)
(-6,0)
(0,-6)
(0,6)
Question 10
10.
Graph the parabola.
visibility
View drawing
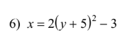
Question 11
11.
Find the vertex.
(-5,3)
(-5,-3)
(5,-3)
(5,3)
Question 12
12.
Graph the parabola.
visibility
View drawing