Log in
Sign up for FREE
arrow_back
Library

3AG H8 D-toets

star
star
star
star
star
Last updated almost 6 years ago
36 questions
Note from the author:
3AG H8 D-toets - Getal en Ruimte 10e editie
1
1
2
3
1
2
3
1
3
2
1
1
2
2
2
2
3
1
1
1
1
2
1
2
2
3
2
2
2
2
2
2
2
1
1
2
Question 1
1.

Op 1 januari 2013 had Oeganda 34,8 miljoen inwoners. De verwachting is dat dit aantal jaarlijks met 1,033 wordt vermenigvuldigd.
Stel de formule op van het aantal inwoners N in miljoenen na t jaar.

Question 2
2.

Op 1 januari 2013 had Oeganda 34,8 miljoen inwoners. De verwachting is dat dit aantal jaarlijks met 1,033 wordt vermenigvuldigd.
Hoeveel inwoners verwacht je dat er op 1 januari 2017 zijn?

Question 3
3.

Op 1 januari 2013 had Oeganda 34,8 miljoen inwoners. De verwachting is dat dit aantal jaarlijks met 1,033 wordt vermenigvuldigd.
In welk jaar is het aantal inwoners op 1 januari voor het eerst meer dan 46 miljoen?

Question 4
4.

Op 1 januari 2013 had Oeganda 34,8 miljoen inwoners. De verwachting is dat dit aantal jaarlijks met 1,033 wordt vermenigvuldigd.
Met hoeveel neemt het aantal inwoners in 2023 toe?

Question 5
5.

In de jaren 60 van de vorige eeuw is het aantal havikken in Nederland door het gebruik van landbouwbestrijdingsmiddelen sterk afgenomen tot ongeveer 1000 broedparen. Nadat het gebruik van bestrijdingsmiddelen afnam en er ook minder op de havik werd gejaagd, kon de populatie in omvang toenemen tot 2000 broedparen op 1 juni 2010. Dit aantal neemt jaarlijks met 7,8% toe.
Stel de formule op van het aantal broedparen N van de havik. Neem t=0 op 1 juni 2010.

Question 6
6.

In de jaren 60 van de vorige eeuw is het aantal havikken in Nederland door het gebruik van landbouwbestrijdingsmiddelen sterk afgenomen tot ongveer 1000 broedparen. Nadat het gebruik van bestrijdingsmiddelen afnam en er ook minder op de havik werd gejaagd, kon de populatie in omvang toenemen tot 2000 broedparen op 1 juni 2010. Dit aantal neemt jaarlijks met 7,8% toe.
In welk jaar zijn er op 1 juni voor het eerst meer dan 4500 broedparen?

Question 7
7.

In de jaren 60 van de vorige eeuw is het aantal havikken in Nederland door het gebruik van landbouwbestrijdingsmiddelen sterk afgenomen tot ongveer 1000 broedparen. Nadat het gebruik van bestrijdingsmiddelen afnam en er ook minder op de havik werd gejaagd, kon de populatie in omvang toenemen tot 2000 broedparen op 1 juni 2010. Dit aantal neemt jaarlijks met 7,8% toe.
Met hoeveel neemt het aantal broedparen tussen 1 juni 2024 en 1 juni 2025 toe?

Question 8
8.

In vrijwel alle landen van de EU neemt het aantal melkkoeien de laatste jaren af. Met een jaarlijkse afname van 4,2% was de procentuele afname in Spanje het sterkst. Op 1 januari 2011 waren waren er in Spanje 830 000 melkkoeien.
Stel de formule op van het aantal melkkoeien N in Spanje. Neem de tijd t in jaren met t=0 op 1 januari 2011.

Question 9
9.

In vrijwel alle landen van de EU neemt het aantal melkkoeien de laatste jaren af. Met een jaarlijkse afname van 4,2% was de procentuele afname in Spanje het sterkst. Op 1 januari 2011 waren waren er in Spanje 830 000 melkkoeien.
Met hoeveel neemt het aantal melkkoeien in 2017 af?

Question 10
10.

In vrijwel alle landen van de EU neemt het aantal melkkoeien de laatste jaren af. Met een jaarlijkse afname van 4,2% was de procentuele afname in Spanje het sterkst. Op 1 januari 2011 waren waren er in Spanje 830 000 melkkoeien.
In welk jaar zijn er op 1 januari voor het eerst minder dan 550 000 melkkoeien?

Question 11
11.

Gegeven is de tabel:
Stel de formule op van M in het geval bij de tabel van M lineaire groei hoort.

Question 12
12.

Gegeven is de tabel:
Stel de formule op van M in het geval bij de tabel van M exponentiële groei hoort.

Question 13
13.

Gegeven is de tabel:
Bereken K voor t=5 in het geval bij de tabel van K lineaire groei hoort.

Question 14
14.

Gegeven is de tabel:
Bereken K voor t=5 in het geval bij de tabel van K exponentiële groei hoort.

Question 15
15.

De tabel gaat over het aantal voertuigkilometers in Nederland. Dat is het totale aantal km dat alle voertuigen samen in een jaar rijden.
Schat door interpoleren het aantal voertuigkilometers in 2000.

Question 16
16.

De tabel gaat over het aantal voertuigkilometers in Nederland. Dat is het totale aantal km dat alle voertuigen samen in een jaar rijden.
Schat door extrapoleren het aantal voertuigkilometers in 2028.

Question 17
17.

Op een kermis staat een reuzenrad en een minirad. Op het moment dat Judith in het reuzenrad stapt, stapt Mark in het minirad. Het reuzenrad is 42 meter hoog en draait in 1 minuut en 15 seconde één keer rond. Het minirad draait in 45 seconden één keer rond.
Teken in je werkboek (of in je schrift) de grafiek van de hoogte van Judith gedurende de eerste 6 minuten en beantwoord de volgende vraag:
Na hoeveel seconden zijn Judith en Mark weer tegelijk beneden?

Question 18
18.

Los op. Rond af op 2 decimalen.

Question 19
19.

Los op. Rond af op 2 decimalen.

Question 20
20.

Los op. Rond af op 2 decimalen.

Question 21
21.

Los op. Rond af op 2 decimalen.

Question 22
22.

Los op. Rond af op 2 decimalen.

Question 23
23.

Los op. Rond af op 2 decimalen.

Question 24
24.

Los op. Rond zo nodig af op twee decimalen.

Question 25
25.

Los op. Rond zo nodig af op twee decimalen.

Question 26
26.

Los op. Rond zo nodig af op twee decimalen.

Question 27
27.

Stel de formule op van de beeldgrafiek van de volgende formule:
bij een verschuiving van 3 omlaag en 6 naar rechts

Question 28
28.

Stel de formule op van de beeldgrafiek van de volgende formule:
bij een verschuiving van 5 naar links en 9 omhoog

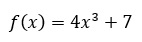
Question 29
29.

Onderstaande grafiek wordt eerst met 6 vermenigvuldigd en vervolgens 9 naar links geschoven. Je krijgt dan de grafiek van k. Stel de haakjesnotatie van k op.

Question 30
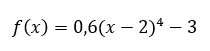
30.

Schets van onderstaande functie de grafiek (in je schrift) en vermeld als antwoord de coördinaten van de top of van het punt van symmetrie:

Question 31
31.

Schets van onderstaande functie de grafiek (in je schrift) en vermeld als antwoord de coördinaten van de top of van het punt van symmetrie:

Question 32
32.

Schets van onderstaande functie de grafiek (in je schrift) en vermeld als antwoord de coördinaten van de top of van het punt van symmetrie:

Question 33
33.

Schets van onderstaande functie de grafiek (in je schrift) en vermeld als antwoord de coördinaten van de top of van het punt van symmetrie:

Question 34
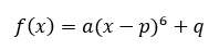
34.

De top van de grafiek van onderstaande functie is het punt T(-2,-6). De grafiek gaat bovendien door het punt P(0,26). Bereken p.

Question 35
35.

De top van de grafiek van onderstaande functie is het punt T(-2,-6). De grafiek gaat bovendien door het punt P(0,26). Bereken q.

Question 36
36.

De top van de grafiek van onderstaande functie is het punt T(-2,-6). De grafiek gaat bovendien door het punt P(0,26). Bereken a.
Geef breuken als volgt aan: drie vierde = 3/4