Log in
Sign up for FREE
arrow_back
Library
Hon. Alg. II Quiz Chapt 7.5 thru 7.8
By Kevin Meehan
star
star
star
star
star
Share
share
Last updated almost 6 years ago
23 questions
Add this activity
Note from the author:
1
1
1
1
1
1
1
1
1
1
1
1
1
1
1
1
1
1
1
1
1
1
1
Short (23 questions) multiple choice quiz on simplifying as well as solving exponential and logarithmic expressions and equations.
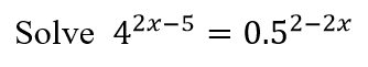
Question 1
1.
There is no solution
x = 3
x = 2
x = 1
Question 2
2.
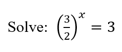
Question 3
3.
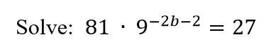
Question 4
4.
8
24
16
32
Question 5
5.
Question 6
6.
Question 7
7.
y
int
= 8
y
int
= e + 7
y
int
= ln(-7)
y
int
= 7
Question 8
8.
Which statement is not true?
Question 9
9.
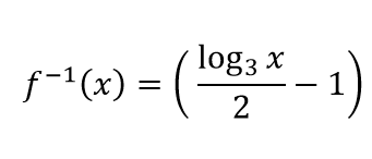
Question 10
10.
Which is the inverse of
Question 11
11.
There is no solution
Question 12
12.
Question 13
13.
Which is greatest?
Question 14
14.
Question 15
15.
Which statement is sometimes, but not always true?
the inverse of a logarithmic function is a function.
The inverse of a cubic function is a function.
The inverse of an exponential function is a function.
The inverse of a quadratic function is a function.
Question 16
16.
Question 17
17.
Question 18
18.
1
0.5
2
1.5
Question 19
19.
Question 20
20.
Question 21
21.
Question 22
22.
Be careful...
Question 23
23.