Log in
Sign up for FREE
arrow_back
Library

Linearne jednadžbe. Intervali. Linearne nejednadžbe

star
star
star
star
star
Last updated about 6 years ago
20 questions
1
1
1
1
1
1
1
1
1
1
1
1
1
1
1
1
1
1
1
1
Question 1
1.

Koliko prirodnih brojeva odgovara ovoj nejednakosti:
(Uputa: Pojednostavi nejednakost i analiziraj, ili pokušaj uvrštavati i ispitivati redom prirodne brojeve.)

Question 2
2.

Dana je nejednadžba
Ako je rješenje te nejednadžbe interval
kakav je realni broj t ? Zapiši odgovor matematičkim simbolima.

Question 3
3.

Odredi presjek skupa točaka istaknutog narančastom bojom na brojevnom pravcu i intervala [-1,3>. Rješenje zapiši pomoću intervala.

Question 4
4.

Zapiši u obliku intervala skup točaka istaknut narančastom bojom na brojevnom pravcu.

Question 5
5.

Koji je najveći cijeli broj koji pripada intervalu koji je istaknut narančastom bojom?

Question 6
6.

Riješi nejednadžbu:
Rješenje zapiši u obliku intervala.

Question 7
7.

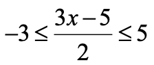
Koliko cijelih brojeva x zadovoljava uvjet:

Question 8
8.

Izrazi nepoznanicu x iz jednadžbe, pa odredi za koje vrijednosti parametra a jednadžba ima negativno rješenje.
Odgovor zapiši u obliku intervala.

Question 9
9.

Question 10
10.

Na brojevnom pravcu prikaži skup rješenja nejednadžbe.

Question 11
11.

Riješi jednadžbu:

Question 12
12.

Question 13
13.

Question 14
14.

Riješi jednadžbu:

Question 15
15.

Riješi jednadžbu:

Question 16
16.

Question 17
17.

Na brojevnom pravcu prikaži rješenja nejednadžbe:

Question 18
18.

Na brojevnom pravcu prikaži rješenja nejednadžbe:

Question 19
19.

Za međunarodne utakmice, duljina nogometnog igrališta je od 90 do 100 metara, a širina između 65 i 75 metara. U kojim granicama je opseg igrališta? Odgovor zapiši u obliku intervala.

Question 20
20.

Na dvije police nalaze se ukupno 72 knjige. Kada bismo s prve police premjestili na drugu 6 knjiga, na prvoj bi bilo dva puta više knjiga nego na drugoj. Koliko je knjiga na prvoj polici?

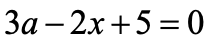
Neka je dana jednadžba.
Za koju vrijednost parametra a ova jednadžba ima beskonačno mnogo rješenja?
(Uputa: Riješi jednadžbu po nepoznanici x, pa analiziraj kada ima beskonačno mnogo rješenja.)
1
0
-1
Za koje vrijednosti x jednadžba nema smisla:
4
2
-2
-4
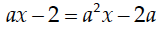
Riješi jednadžbu po nepoznanici x, pa provedi raspravu o broju rješenja jednadžbe ovisno o parametru a.
Što je od navedenog točno?
Za a=-1 jednadžba nema rješenja.
Za a=1 jednadžba ima jedinstveno rješenje.
Za a=1 jednadžba nema rješenja.
Za a=-1 jednadžba ima jedinstveno rješenje.
Za a=0 jednadžba ima beskonačno mnogo rješenja.
Za a=0 jednadžba nema rješenja.
Za a=1 jednadžba ima beskonačno mnogo rješenja.
Za a=-1 jednadžba ima beskonačno mnogo rješenja.
Za a=0 jednadžba ima jedinstveno rješenje.
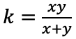
Izrazi nepoznanicu y iz jednadžbe:
y=\frac{kx}{x+k}
y=\frac{x}{k(x-k)}
y=\frac{kx}{x-k}
y=\frac{kx}{k-x}