Приведение дробей к общему знаменателю
star
star
star
star
star
Last updated over 5 years ago
4 questions
Внимательно прочитайте текст!
Уважаемые семиклассныики. Сегодня хочу вам рассказать о «приведении алгебраических дробей к общему знаменателю». Ранее речь шла о числовых дробях, а сейчас пойдёт об алгебраических, при этом принципиально ничего не изменится. Мы тоже должны будем найти общий знаменатель для всех дробей, которые у нас есть. И найти это нужно, сначала разложив на множители каждую из дробей, а потом подобрав общий множитель.
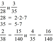
Вспомним на числовых дробях, а затем сделаем для алгебраических дробей.
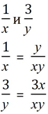
Пример 1:
Найти общий знаменатель:
Как привести к общему знаменателю? Раскладываем знаменатель первой и второй дроби на множители, и ищем общий знаменатель:
Примерно вот таким мы будем заниматься сегодня, но только вместо чисел будут буквы.
Перед тем как переходить к примерам, определимся, зачем нам это надо! Зачем мы приводили к общему знаменателю числовые дроби? Для того, чтобы потом выполнять с ними простейшие действия. То же самое и с алгебраическими дробями. Будем учиться приводить дробь к общему знаменателю.
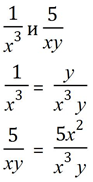
Пример 2:
Найти общий знаменатель:
Помним: когда мы домножаем знаменатель на какое-то выражение, то мы на это выражение домножаем и числитель!
Пример 2:
Найти общий знаменатель:
Ищем общий знаменатель, раскладываем на множители:
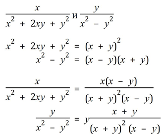
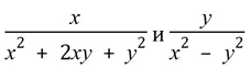
Пример 3:
Найти общий знаменатель:
Здесь нужно разложить на множители знаменатель и первой и второй дроби. У первой дроби в знаменателе квадрат суммы, у второй дроби – разность квадратов. Используя формулы сокращённого умножения, раскладываем на множители. Далее подбираем общий знаменатель или ищем НОК:
Пример 4:
Найти общий знаменатель:
Рассмотрим три знаменателя, разложим их на множители и посмотрим, чего не хватает каждому:
Одна важная ремарка: перед тем, как я закончу этот урок, обратите внимание, что обычно, когда речь идёт о приведении дробей к общему знаменателю, после знака равно вы рисуете дробную черту и сначала записываете вот эти общие знаменатели.
Итак, мы с вами научились приводить дробь к общему знаменателю. Это умение нам очень сильно пригодится, когда мы будем складывать и вычитать дроби.
До встречи!
1 point
1
Question 1
1.
1 point
1
Question 2
2.
1 point
1
Question 3
3.
Как называется свойство, используемое для сокращения дробей и приведения их к общему знаменателю?
Как называется свойство, используемое для сокращения дробей и приведения их к общему знаменателю?
1 point
1
Question 4
4.