Log in
Sign up for FREE
arrow_back
Library
Icahn Week 05/11 Day 1
By Kristine Pappas
star
star
star
star
star
Share
share
Last updated over 5 years ago
10 questions
Add this activity
1 point
1
Question 1
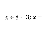
1.
1 point
1
Question 2
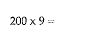
2.
1 point
1
Question 3
3.
1 point
1
Question 4
4.
1 point
1
Question 5
5.
1 point
1
Question 6
6.
1 point
1
Question 7
7.
1 point
1
Question 8
8.
1 point
1
Question 9
9.
1 point
1
Question 10
10.