Unit 7: Geometry Retake (Lines and Systems)
star
star
star
star
star
Last updated almost 5 years ago
21 questions
Note from the author:
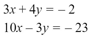
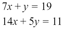
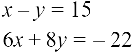
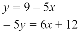
Test on systems of equations
1
1
1
1
1
1
1
1
2
1
1
1
1
1
1
1
1
1
1
| Draggable item | arrow_right_alt | Corresponding Item |
|---|---|---|
slope-intercept form | arrow_right_alt | |
point-slope form | arrow_right_alt | |
standard form | arrow_right_alt |

