Piecewise Practice
star
star
star
star
star
Last updated over 5 years ago
10 questions
Note from the author:
Alg 2 Piecewise functions practice
1
1a)In show your work, graph the piecewise function. (the piecewise will be a picture when you click show your work)
1a)
In show your work, graph the piecewise function. (the piecewise will be a picture when you click show your work)
1
1b) Using the Piecewise graph from 1a), Is the graph from continuous at x = 4?
1b)
Using the Piecewise graph from 1a), Is the graph from continuous at x = 4?
1
1c)What is the Domain of the piecewise function from 1a?
1c)
What is the Domain of the piecewise function from 1a?
1
1d)What is the Range of the piecewise function from 1a?
1d)
What is the Range of the piecewise function from 1a?
1
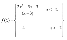
2a)In show your work, graph the piecewise function (the piecewise will be a picture when you click show your work)
2a)
In show your work, graph the piecewise function (the piecewise will be a picture when you click show your work)
1
2b) From 2a), Is the piecewise function continous at x=0? Continuous at x=2?
2b)
From 2a), Is the piecewise function continous at x=0? Continuous at x=2?
1
2c)From 2a), what is the domain of the piecewise function?
2c)
From 2a), what is the domain of the piecewise function?
1
2d)From 2a, What is the range of the piecwise function?
2d)
From 2a, What is the range of the piecwise function?
1
What is the piecewise function of this graph? (Usw show your work to write down your answer)
What is the piecewise function of this graph? (Usw show your work to write down your answer)
1