Log in
Sign up for FREE
arrow_back
Library

4/20 Monday GF Lesson 9.2.3 Part 3

star
star
star
star
star
Last updated about 6 years ago
22 questions
1
1
1
1
1
1
1
1
1
1
1
1
1
1
1
1
1
1
1
1
1
1
Question 1
1.

9-90a Use the rule y = -2x + 5. What is the slope?

Question 2
2.

9-90b Use the rule y = -2x + 5. Where does the line cross the y-axis?

Question 3
3.

Question 4
4.

Question 5
5.

Question 6
6.

9-93 Using your answer from question 5, explain how you know Kenneth is correct or not.

Question 7
7.

9-94a Daniel needed to paint his patio, so he made a scale drawing of it. He knows that the width of the patio is 10 feet, but the scale drawing is in inches.
Find the length of the patio in feet.

Question 8
8.

9-94b Daniel needed to paint his patio, so he made a scale drawing of it.
Find the area of the patio so Daniel knows how much area he needs to paint.

Question 9
9.

9-94c Daniel needed to paint his patio, so he made a scale drawing of it.
One can of paint covers 125 square feet. How many cans of paint will Daniel need to buy?

Question 10
10.

Question 11
11.

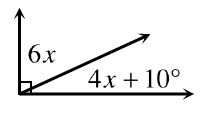
9-96a Solve for x.

Question 12
12.

Question 13
13.

9-96b Solve for x.

Question 14
14.

Question 15
15.

9-96c Solve for x.

Question 16
16.

Question 17
17.

9-96d Solve for x.

Question 18
18.

9-98a Find the area of the circle with radius = 8 cm. Use 3.14 for pi.

Question 19
19.

9-98b Find the area of the circle. Use 3.14 for pi.

Question 20
20.

9-99b Write the number in scientific notation.
0.0000005

Question 21
21.

9-99c Write the number in scientific notation.
3,120,000,000

Question 22
22.

9-99a Write the number in scientific notation.
49.63

9-92a Determine if the folloiwing is a function or not a function.

Yes it is a function
No it is not a function
9-92b Determine if the folloiwing is a function or not a function.
Yes it is a function
No it is not a function
9-93 Kenneth claims that (2,0) is the point of intersection of the lines y=−2x+4 and y=x−2. Is he correct?
yes
no
9-96a Which method would you use to solve for x in the following?

Sum of the angles in a right angle is 90 degrees
Sum of the angles in a straight angle is 180 degrees
Sum of the three angles in a triangle is 180 degrees
Vertical Angles are equal
9-96b Which method would you use to solve for x in the following?
Sum of the angles in a right angle is 90 degrees
Sum of the angles in a straight angle is 180 degrees
Sum of the three angles in a triangle is 180 degrees
Vertical Angles are equal
9-96c Which method would you use to solve for x in the following?
Sum of the angles in a right angle is 90 degrees
Sum of the angles in a straight angle is 180 degrees
Sum of the three angles in a triangle is 180 degrees
Vertical Angles are equal
9-96d Which method would you use to solve for x in the following?
Sum of the angles in a right angle is 90 degrees
Sum of the angles in a straight angle is 180 degrees
Sum of the three angles in a triangle is 180 degrees
Vertical Angles are equal