Log in
Sign up for FREE
arrow_back
Library
Algebra Week 3 Day 5
By Darcey Kondel
star
star
star
star
star
Share
share
Last updated almost 6 years ago
9 questions
Add this activity
1
1
1
1
1
1
1
1
1
Question 1
1.
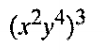
Simplify:
visibility
View drawing
Question 2
2.
Simplify:
visibility
View drawing
Question 3
3.
Simplify:
visibility
View drawing
Question 4
4.
Simplify:
visibility
View drawing
Question 5
5.
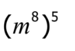
Simplify:
visibility
View drawing
Question 6
6.
Simplify:
visibility
View drawing
Question 7
7.
Simplify:
visibility
View drawing
Question 8
8.
Simplify:
visibility
View drawing
Question 9
9.
Simplify:
visibility
View drawing