Kružnica - probna provjera znanja
star
star
star
star
star
Last updated over 4 years ago
21 questions
Note from the author:
krivulje drugog reda
3
Odredi kut (u stupnjevima) pod kojim pravac siječe kružnicu
Odredi kut (u stupnjevima) pod kojim pravac
siječe kružnicu
1
1
1
1
Skiciraj kružnicu polumjera 2 koja dodiruje obje koordinatne osi. Obuhvati skicom sve slučajeve.
Skiciraj kružnicu polumjera 2 koja dodiruje obje koordinatne osi. Obuhvati skicom sve slučajeve.
1
Dvije točke na kružnici koje imaju istu koordinatu y = −3 su:
Dvije točke na kružnici
koje imaju istu koordinatu y = −3 su:
1
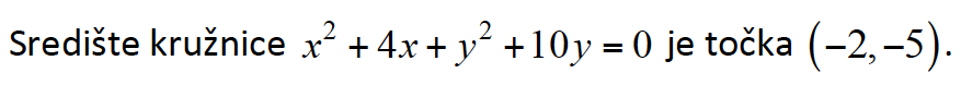
Odredi polumjer kružnice
Odredi polumjer kružnice
2
Pravac 2x +3y −6 = 0 siječe koordinatne osi u točkama A i B . Jednadžba kružnicekojoj je dužina AB promjer je
Pravac 2x +3y −6 = 0 siječe koordinatne osi u točkama A i B . Jednadžba kružnice
kojoj je dužina AB promjer je
2
Kružnica dira obje koordinatne osi, a središte joj je na pravcu x −3y + 6 = 0. Jednadžbate kružnice je
Kružnica dira obje koordinatne osi, a središte joj je na pravcu x −3y + 6 = 0. Jednadžba
te kružnice je
3
Odredi površinu trokuta što ga određuju ishodište koordinatnog sustava i oba sjecišta kružnice
i pravca x − 2y +5 = 0.
Odredi površinu trokuta što ga određuju ishodište koordinatnog sustava i oba sjecišta kružnice
i pravca x − 2y +5 = 0.
2
Paralelni pravci y = 3x − 2 i y = 3x +1 su tangente kružnice. Ako je središte te kružnicena pravcu y = −x , njezina je jednadžba:
Paralelni pravci y = 3x − 2 i y = 3x +1 su tangente kružnice. Ako je središte te kružnice
na pravcu y = −x , njezina je jednadžba:
2
Skiciraj kružnice i njihove zajedničke tangente.
Skiciraj kružnice i njihove zajedničke tangente.
1
Odredi jednadžbu kružnice k_1 na slici.
Odredi jednadžbu kružnice k_1 na slici.
2
Koliki je kut (izrazi u stupnjevima) između kružnica k_1 i k_2 na slici?
Koliki je kut (izrazi u stupnjevima) između kružnica k_1 i k_2 na slici?
1
1
1
1
1
1
1