One-Step Equations
star
star
star
star
star
Last updated over 5 years ago
12 questions
1
The inverse operation of division is ___________________.
The inverse operation of division is ___________________.
1
The inverse operation of subtraction is ________________.
The inverse operation of subtraction is ________________.
1
How would you solve the following equation? 15 = y – 3
How would you solve the following equation? 15 = y – 3
1
What operation would you use to isolate the variable in this equation? 8x = 64
What operation would you use to isolate the variable in this equation? 8x = 64
1
Solve for the unknown value: z + 15 = 16
Solve for the unknown value: z + 15 = 16
1
Solve for y: 26 = y - 10
y = ?
Solve for y: 26 = y - 10
y = ?
1
✓ Check: Plug your answer back into the original equation. Show your work here:
✓ Check: Plug your answer back into the original equation. Show your work here:
1
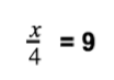
Solve for x:
x = ?
Solve for x:
x = ?
1
✓ Check: Plug your answer back into the original equation. Show your work here:
✓ Check: Plug your answer back into the original equation. Show your work here:
1
Solve for x: 16 = 2x
x = ?
Solve for x: 16 = 2x
x = ?
1
✓ Check: Plug your answer back into the original equation. Show your work here:
✓ Check: Plug your answer back into the original equation. Show your work here:
1
Create your own equation and solve it here!
Create your own equation and solve it here!