#E011P - Practice System - Equal values
star
star
star
star
star
Last updated over 5 years ago
10 questions

1
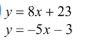
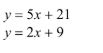
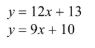
Solve the System- make sure you answer is an ordered pair (x, y)
Solve the System- make sure you answer is an ordered pair (x, y)
1
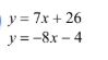
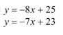
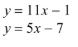
Solve the System- make sure you answer is an ordered pair (x, y)
Solve the System- make sure you answer is an ordered pair (x, y)
1
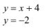
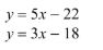
Solve the System- make sure you answer is an ordered pair (x, y)
Solve the System- make sure you answer is an ordered pair (x, y)
1
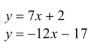
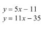
Solve the System- make sure you answer is an ordered pair (x, y)
Solve the System- make sure you answer is an ordered pair (x, y)
1
Solve the System- make sure you answer is an ordered pair (x, y)
Solve the System- make sure you answer is an ordered pair (x, y)
1
Solve the System- make sure you answer is an ordered pair (x, y)
Solve the System- make sure you answer is an ordered pair (x, y)
1
Solve the System- make sure you answer is an ordered pair (x, y)
Solve the System- make sure you answer is an ordered pair (x, y)
1
Solve the System- make sure you answer is an ordered pair (x, y)
Solve the System- make sure you answer is an ordered pair (x, y)
1
Solve the System- make sure you answer is an ordered pair (x, y)
Solve the System- make sure you answer is an ordered pair (x, y)
1
Solve the System- make sure you answer is an ordered pair (x, y)
Solve the System- make sure you answer is an ordered pair (x, y)